
Pukyong National University, Department of Polymer Engineering, 45 Yongso-ro, Nam-gu, Busan 48513, Korea
국립부경대학교 고분자·화학소재공학부 고분자공학전공
Reproduction, stored in a retrieval system, or transmitted in any form of any part of this publication is permitted only by written permission from the Polymer Society of Korea.
Water scarcity caused by climate change has heightened interest in biodegradable superabsorbent polymers (SAPs) to improve water retention efficiency in agriculture. This study developed bilayer hydrogel films with asymmetric swelling properties using carboxymethyl cellulose sodium (CMCNa) and citric acid and evaluated their effectiveness as seed-encapsulating materials. The hydrogel films exhibited excellent water retention and enhanced seed germination, even under minimal water conditions. Furthermore, biodegradability tests confirmed that the hydrogel films completely degraded in soil. These findings demonstrate the potential of CMCNa/citric acid-based self-actuating hydrogel films as sustainable seed-encapsulating technology, effectively supporting crop germination and growth in arid environments.
기후 변화로 인한 물 부족 문제는 농업에서 작물의 수분 공급 효율을 높이는 생분해성 고흡수성 수지(SAP)에 대한 관심을 증가시키고 있다. 본 연구는 카복시메틸셀룰로오스 나트륨(CMCNa)과 구연산을 사용하여 양면의 팽윤도가 다른 Bilayer 하이드로젤 필름을 개발하고, 씨앗 캡슐화 기술로서의 효과를 평가하였다. 하이드로젤 필름은 뛰어난 수분 보유력과 씨앗 발아 촉진 효과를 보여주었으며, 극소량의 물 환경에서도 씨앗 발아율을 높였다. 또한, 생분해성 실험을 통해 하이드로젤 필름이 토양 내에서 완전히 분해되는 특성을 확인하였다. 이러한 결과는 본 연구의 CMCNa/구연산 기반 자가 구동 하이드로젤 필름이 건조한 환경에서도 보습력을 유지시켜 작물 발아를 효과적으로 지원하고, 지속 가능한 씨앗 캡슐화 기술로 농업적 활용 가능성을 제시함을 보여준다.
A self-actuating bilayer hydrogel film composed of carboxymethyl cellulose sodium (CMCNa) and citric acid was developed for seed encapsulation. Upon water absorption, the hydrogel bends and wraps around the seed, providing a water-retentive environment. The film enhanced seed germination under limited water conditions and completely biodegraded in soil, demonstrating its potential as a sustainable agricultural material.

Keywords: carboxymethylcellulose sodium, citric acid, bilayer hydrogel films, seed germination enhancement, biodegradable superabsorbent polymers.
이 논문(또는 저서)은 부경대학교 자율창의학술연구비(2024년)에 의하여 연구되었음.
저자들은 이해상충이 없음을 선언합니다.
농업에서 물 부족 문제는 전 세계적으로 심각한 과제로 떠오르고 있다. 현재 농업은 전 세계 담수 사용량의 70% 이상을 차지하며, 이는 물 부족 문제를 더욱 심화시키고 있다.1,2 특히 기후 변화로 인한 가뭄과 물 공급의 불안정성은 농업 생산성에 큰 영향을 미친다. 이에 따라, 토양의 수분 보유력을 높여 작물의 수분 이용 효율을 증가시켜주는 물질로 고흡수성 수지(super absorbent polymer, SAP)에 관한 연구가 활발히 진행되어왔다.3
SAP의 사슬에는 다량의 친수성 작용기가 있어, 자체 무게의 수백 배에서 수천 배의 물을 흡수할 수 있다. 또한 화학적, 물리적 가교 결합으로 형성된 3차원 네트워크 구조를 가져 일정 압력 하에서도 SAP가 강력한 수분 보유력을 유지하도록 한다.4
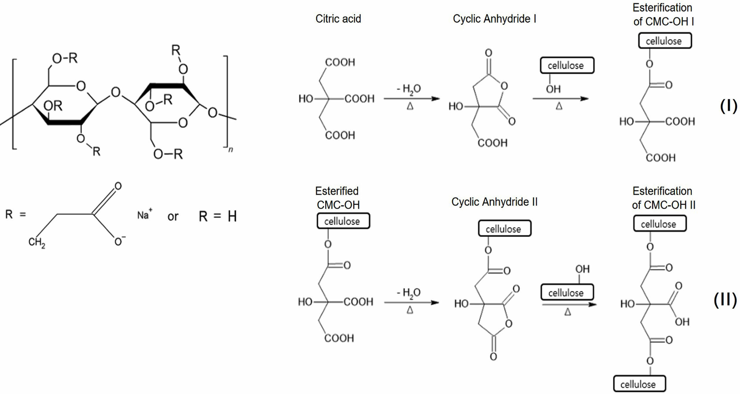
그러나 기존의 농업적으로 사용되는 상업용 SAP는 대부분 폴리아크릴아마이드 및 아크릴레이트 유도체를 기반으로, 토양에서 분해되지 않는 문제를 가지고 있다.5,6 이러한 이유로, 합성소재를 대체하여 다당류,7 젤라틴,8 폴리락타이드9 등을 이용하여 생분해성 SAP에 대한 연구가 진행중이다. 다당류 중에서도 카복시메틸셀룰로오스(carboxymethyl cellulose, CMC)는 셀룰로오스에서 유래된 수용성 고분자로, 무수글루코오스의 선형 다당류이다. 반복단위는 β-1,4-글리코사이드 결합으로 연결되어 있으며, 천연 셀룰로오스의 수산화기(-OH)가 카복시메틸기(-CH2COOH)로 치환된 구조를 가진다. CMC는 우수한 생분해성, 친수성, 조절 가능한 점도 및 유변학적 특성을 통해 다양한 응용이 가능하여 농업, 의약 및 화장품, 제약, 식품 등 여러 분야에서 활용되고 있다.10,11
농업에서의 하이드로젤은 물 보유력과 팽윤 특성을 통해 씨앗 주변에 지속적으로 수분을 공급함으로써 작물의 초기 성장을 촉진한다.2,12-14 씨앗 코팅의 재료로 사용되는 하이드로젤은 발아 과정에서 영양소를 공급하고 뿌리 생장을 도와 작물 수확량을 높일 수 있다는 긍정적인 효과가 있다.15 그러나 부적절한 코팅 두께나 방식은 발아율 감소 및 산소 차단에 의한 발아 지연과 같은 부정적인 영향을 초래할 수 있다는 연구 또한 보고된 바 있다.16 본 연구에서는 카복시메틸셀룰로오스 나트륨(CMCNa)과 구연산을 활용하여 서로 다른 팽창 비율을 갖는 양면 하이드로젤 필름을 개발했으며, 이는 상이한 두 층의 팽창률때문에 팽창 시 구부러지며 말리는 형상변형 구동을 나타내었다. 이를 활용하여 씨앗 캡슐화의 유효성을 검증하기 위해 사용하였다. 이 하이드로젤 필름은 우수한 수분 유지 능력과 함께 씨앗의 발아를 촉진시키는 효과를 나타냈고, 매우 적은 양의 물만을 사용하는 환경에서도 발아율을 향상시켰다. 추가적으로, 생분해성 테스트를 통해 하이드로젤 필름이 토양에서 완전히 분해되는 것을 확인할 수 있었다. 이러한 결과는 CMCNa와 구연산을 기반으로 한 자가 구동 하이드로젤 필름이 건조한 환경에서도 보습을 유지하여 식물의 발아를 효과적으로 촉진하는 것을 확인하였다.
시약. 실험에 사용된 카복시메틸셀룰로오스 나트륨염(CMCNa)은 카복실기 치환도(1.2)를 가진 형태로 SIGMA-ALDRICH 제품을 사용하였으며, 구연산은 덕산종합과학 제품을 사용하였다.
혼합용액 제조. Bilayer 하이드로젤의 양면에 팽윤도가 다른 필름을 접합하기 위해 구연산의 농도를 달리한 혼합용액을 제조하였다(Table 1). 증류수에 구연산을 용해시킨 뒤, CMCNa를 첨가하여 완전히 용해시켜 혼합용액을 제조하였다.
단층 CMC 하이드로젤 필름의 제조와 팽윤도 측정. 구연산의 비율별로 팽윤도를 알아보기 위해 각각의 혼합용액으로 1-layer 하이드로젤 필름을 제조하였다. 혼합용액을 글라스 표면에 균일하게 도포한 뒤, 40 ℃에서 용매를 증발시키고, 130 ℃에서 가교시켜 하이드로젤 필름을 완성하였다. 이 과정에서 구연산은 탈수 반응을 통해 고리형 무수물을 형성하고, 이 무수물이 CMC의 수산화기와 반응하여 에스터 결합을 형성한다(Figure 1). 결과적으로 구연산 분자에 두개의 다른 CMC 사슬이 연결되어 가교구조가 형성된다. 제조된 필름을 1.5×1.5 cm 크기로 잘라 물에서 완전히 팽윤시켜 다음 식을 통해 팽윤도(%)를 계산하여 그래프로 나타내었다(Figure 2). 팽윤도를 측정한 결과, 구연산이 0.01 wt%일 때 3784%의 팽윤도를 나타내어 뛰어난 수분 흡수 능력을 보였다. 또한 구연산 농도가 높을수록 가교도가 높아 팽윤도가 급격히 감소하는 것을 확인하였다.
이중층 CMC 하이드로젤 필름의 제조. 이중층 구조를 갖는 하이드로젤 필름은 다음과 같은 방식으로 제조되었다(Figure 3). 첫 번째 혼합용액을 도포한 뒤, 40 ℃에서 용매를 증발시켜 Layer1을 형성하였다. 이후, Layer1 위에 두 번째 혼합용액을 도포하고, 동일하게 40 ℃에서 용매를 증발시켜 Layer2를 형성한 후, 130 ℃로 온도를 높여 두 층을 완전히 가교시켰다.
|
Figure 1 Chemical structure of sodium carboxymethylcellulose (CMC) (left) and Cross-linking mechanism of CMC with citric acid (right). |
|
Figure 2 Swelling behavior of hydrogel films at different citric acid concentrations (n=3). |
|
Figure 3 Fabrication of bilayer hydrogel film. |
본 실험에서는 두께 4 mm의 중형 씨앗인 새싹보리 씨앗에 적합한 bilayer 하이드로젤 필름을 설계하는 것을 목표로 하였다. 이를 위해 구연산의 농도가 다른 4가지 혼합용액을 이용하여 다양한 팽윤도 차이를 가진 bilayer 필름을 제작하고, 자가 구동 특성과 곡률 반경을 비교 분석하였다.
먼저, 팽윤도 차이가 클수록 하이드로젤이 한쪽 면으로 둥글게 말리는 자가 구동이 더욱 명확하게 나타날 것이라는 가정하에, 팽윤도 차이가 가장 큰 CA-1과 CA-4 혼합용액을 선택하여 이중층 하이드로젤 필름(이하 CA-1,4 필름으로 명명함)을 제작하였다. 제작된 필름을 1.5×1.5 cm 크기로 잘라 물에 팽윤시킨 결과, CA-1,4 필름은 팽윤도 차이로 인해 한쪽 면으로 말리며 원기둥 형태를 형성하여 뚜렷한 자가 구동 특성을 보였다(Figure 4(a),(b)). 그러나 이중층 중 CA-4 혼합용액으로 제작된 하이드로젤 층의 상대적으로 높은 가교도로 인해 제조된 필름이 충분히 유연하지 못했고, 완전히 팽윤된 CA-1,4 필름의 곡률 반경은 4 mm로 측정되었다. 이는 지름 8 mm에 해당하며, 농업에서 주로 사용되는 소형 씨앗(1-3 mm)과 중형 씨앗(3-10 mm)을 감싸기에는 곡률이 작았다. 작은 곡률로 인해 하이드로젤이 씨앗과 밀착하지 못해 들뜨는 부분이 생기며, 이는 씨앗에 대한 수분 공급 효율이 낮아지는 문제를 야기할 수 있다.
이를 보완하기 위해, 가교도가 낮고 유연하여 더 큰 곡률을 가질 것으로 예상되는 CA-1과 CA-2 혼합용액을 선택하여 이중층 하이드로젤 필름(이하 CA-1,2 필름으로 명명)을 제작하였다. CA-1,2 필름을 동일한 방식으로 제작하고 물에 완전히 팽윤시킨 결과, 팽윤도 차이가 작고 팽윤 특성이 뛰어나 필름이 더 유연하게 구부러졌다. 완전히 팽윤되었을 때 CA-1,2 필름의 곡률 반경은 2 mm로 측정되었으며, 하이드로젤이 새싹보리 씨앗의 외부와 효과적으로 접촉하며 감쌀 수 있었다. 결과적으로, CA-1과 CA-2 혼합용액을 사용하여 제작한 이중충의 CA-1,2 필름이 씨앗 보호 및 자가 구동 특성에 가장 적합함을 확인하였으며, 이후의 실험은 CA-1,2 필름을 사용하여 진행하였다.
가교된 CMC 하이드로젤 필름의 화학적 구조를 확인하기 위해 FT-IR 분석을 실시하였다(Figure 5(a)). 3307 cm-1 부근의 넓은 피크는 하이드록실기(O-H)의 신축 진동을 나타내며, 이는 CMC의 다수의 하이드록실기가 물 분자와 수소결합을 형성할 수 있음을 의미한다. 이 수소결합은 하이드로젤 필름의 높은 팽윤 특성을 부여하는 주요 요인이다. 1589 cm-1에서 관찰된 피크는 카복실레이트(-COO-) 그룹의 비대칭 신축 진동에 해당하며, 이는 치환된 카복시메틸 그룹의 존재를 확인시켜준다. 또한, 1051 cm-1 부근의 피크는 에스터 결합을 나타내는 C=O 신축 진동으로 해석될 수 있다. 가교 반응 전후 FTIR 스펙트럼을 분석을 위해 CMCNa와 가교된 하이드로젤 필름의 피크를 분석한 결과, 가교 전후의 화학적 구조가 유사하여 주요 피크의 위치나 강도 변화가 미미하였고, FTIR만으로는 가교 여부를 명확히 판단하기 어려웠다.17
가교 여부를 추가적으로 확인하기 위해, 고온에서 가교과정을 거치지 않고 상온에서 물만 증발시켜 제조한 필름과 고온에서 가교시킨 bilayer 필름을 물에 넣어 팽윤 특성을 비교 관찰하였다(Figure 5(b)). 그 결과, 가교되지 않은 필름은 물에서 녹아 다시 고점도 상태의 혼합용액으로 되돌아갔으나, 가교된 필름은 물에 녹지 않고 팽윤된 상태로 남아 있는 것을 통해 가교 유무를 파악하였다. 즉, 고온가교과정 동안 CMCNa와 구연산간의 에스터 결합을 통해 가교가 일어남을 알 수 있었다.
상기 CMC 하이드로젤이 얼마나 안정적으로 수분을 보유할 수 있는지 평가하기 위해, CA-1,2 필름과 씨앗 발아용 상용 육묘 배지 종이의 상온에서 수분 유지력을 비교하였다(Figure 6(a)). 실험 결과, CMC 하이드로젤 필름은 8시간 뒤 초기 수분의 56%를 잃고, 14시간 뒤 100%를 잃었으나, 상용 육묘 배지 종이는 5시간 만에 수분이 모두 증발하여 다시 초기 무게로 돌아오는 모습을 보였다. 이 결과, CA-1,2 필름은 상용 육묘 배지 종이에 비해 수분을 약 2.8배 더 오래 유지할 수 있음을 확인하였으며, 이는 씨앗 발아 과정에서 상용 육묘 배지 종이보다 씨앗 주변에 안정적인 수분을 공급할 수 있음을 보여준다.
씨앗 발아율 실험은 CA-1,2 하이드로젤 필름과 상용 육묘 배지 종이를 사용하여 극소량의 물 환경에서 하이드로젤이 발아율에 미치는 영향을 비교하기 위해 진행되었다. 실험에는 새싹보리 씨앗을 그룹당 50개씩 총 100개를 사용하여 진행하였다. 발아는 두 그룹 모두 동일한 온도, 습도 환경에서 14일간 진행되었으며, 매일 3 mL의 물을 균일하게 각 씨앗 그룹에 주었다. 물은 각 실험군에 골고루 분배될 수 있도록 드로퍼를 사용하여 주었으며, 물 공급은 실험 시작일부터 끝날 때까지 하루 한 번, 동일한 시간에 이루어졌다. 날짜별로 물을 준 시간에 발아한 씨앗의 개수를 측정하였다(Figure 6(b),(c)). 실험 결과, CA-1,2 하이드로젤 그룹은 실험 시작 3일 차부터 발아가 시작되었으며, 3일 차에 발아율이 80%를 넘었고, 4일 차에는 92%에 도달하였다. 반면, paper 그룹은 5일 차부터 발아가 시작되어 10일 차에 겨우 20%의 발아율에 그쳤다.
하이드로젤 그룹에서 빠른 발아 시간과 높은 발아율을 기록한 이유는 하이드로젤 필름이 뛰어난 수분 보유력을 통해 씨앗 주변에 지속적으로 수분을 공급할 수 있었기 때문이다. 반면, paper는 수분을 빠르게 잃어 씨앗이 발아에 필요한 수분을 충분히 공급받지 못해 발아율이 현저히 낮고 발아속도가 느렸다. 또한, bilayer 하이드로젤의 자가 구동 특성 덕분에 하이드로젤이 씨앗을 감싸주어 씨앗이 물과 접촉할 수 있는 면적이 넓어져 수분 전달 효율이 극대화되었다. 결과적으로, 본 연구에서 제조한 CA-1,2 하이드로젤은 극소량의 물, 즉 하루 3 mL의 물만으로도 50개의 씨앗 중 46개의 씨앗을 성공적으로 발아시킬 수 있었다. 따라서 본 bilayer 하이드로젤 필름은 가뭄이 심한 농업 환경에서 극소량의 물만으로 씨앗 발아를 촉진할 수 있을 것으로 예상된다.
씨앗에 하이드로젤을 코팅하는 딥(dip) 방법과 분무(spray) 방법은 씨앗 전체를 하이드로젤로 코팅하는 방식으로 코팅 두께가 두꺼우면 하이드로젤이 씨앗의 싹과 뿌리가 돋아나는 생장점에서 물리적 저항을 일으켜 발아를 방해할 가능성이 있다. 또한 씨앗 전체가 코팅될 경우 산소 공급이 차단되어 발아율이 감소하거나 발아 속도가 느려질 가능성도 존재한다.18 따라서 딥 또는 분무 방식으로 씨앗을 코팅할 때는 사용되는 하이드로젤의 특성과 코팅 두께를 신중히 고려해야 한다. 반면, 본 연구의 CA-1,2 하이드로젤 필름은 자가 구동 특성에 의해 윗면과 밑면이 뚫린 원기둥 형태로 구동되어 씨앗의 생장점을 막지 않고, 씨앗 전체를 덮지 않아 산소 공급이 원활히 이루어지도록 설계되었다(Figure 6(d)). 이러한 특성 덕분에 씨앗 발아 실험에서 싹은 하이드로젤로 막히지 않은 부분을 통해 원활히 자라났으며, 물이 증발하여 하이드로젤이 건조된 후에도 생장점에서 자라난 싹이 하이드로젤에 방해받지 않고 정상적으로 성장하는 것을 확인할 수 있었다. 이 결과는 bilayer 하이드로젤 필름이 씨앗의 발아 및 성장 과정에서 물리적 장애를 일으키지 않으면서도 효과적으로 수분을 공급할 수 있음을 보여준다.
추가적으로 식물의 발아와 성장 과정에 하이드로젤이 미치는 영향을 확인하기 위해, 하이드로젤을 사용한 화분과 사용하지 않은 화분에서 씨앗의 발아 및 성장을 비교하는 실험을 진행하였다. 실험은 동일한 토양, 온도, 습도 조건에서 진행하였고, 하이드로젤을 사용한 그룹과 사용하지 않은 그룹으로 화분을 나누어 14일간 관찰하였다. 씨앗을 각 화분에 토양 표면으로부터 4 cm 깊이에 10개씩 심고, 첫 날과 7일차에 5 mL의 물을 드로퍼를 이용해 균일하게 주었다. 실험 결과, CA-1,2 하이드로젤로 감싼 씨앗은 더 빠르게 발아하였으며, 성장 속도 또한 더 빨랐다. 구체적으로, 하이드로젤을 사용한 씨앗은 실험 시작 4일 차부터 흙 위로 발아한 싹이 모습을 드러내기 시작하였고, 5일 차에는 10개의 씨앗이 모두 발아하였다. 반면, 하이드로젤 없이 심은 씨앗은 8일 차에 발아를 시작하여 10일 차에 겨우 40%가 발아하였고 나머지 씨앗은 흙 표면 위로 발아하지 못하였다(Figure 7(a)).
마지막으로 CA-1,2 하이드로젤의 생분해성을 평가하기 위해 토양 매설 실험을 진행하였다(Figure 7(b)). 이 실험에서는 하이드로젤 필름이 자연 환경에서 분해되는 속도와 정도를 확인하기 위해, 토양에 100 mg의 하이드로젤 필름을 토양 표면으로부터 10 cm 깊이에 매설하였다. 실험은 32일간 진행되었으며 4일마다 하이드로젤을 꺼내 물기를 제거한 후, 45 ℃에서 건조시켜 잔여 무게를 측정하고 초기 무게 대비 분해율을 계산하였다. 실험 결과, 하이드로젤은 20일 후 약 60%가 분해되었으며 32일차에 100% 분해되었다. 이는 하이드로젤 필름이 토양 내에서 우수한 생분해성을 지니고 있음을 보여주며, 기존 비분해성 고흡수성 수지와 달리 환경 오염을 유발하지 않는다는 것을 확인할 수 있다.
더 나아가, CMC는 토양에서 분해되어 포도당(glucose)으로 변환되며,19 구연산은 미생물의 작용을 통해 이산화탄소(CO2)와 물(H2O)로 최종 분해된다. CMC에서 생성된 포도당은 토양 내 미생물의 에너지원으로 사용되어 미생물의 생장과 활동을 촉진하며, 이는 토양 내 미생물의 에너지원으로 사용되어 미생물의 생장과 활동을 촉진하며,20 이는 토양 내 유기물 함량을 증가시켜 토양 건강을 개선하는 중요한 역할을 한다. 또한, 구연산이 분해되면서 발생하는 이산화탄소는 식물의 광합성에 필요한 탄소 공급원으로 작용할 수 있으며, 물은 식물에게 직접적인 수분 공급원이 된다. 특히 구연산은 토양 내 금속 이온들과 결합하여 킬레이트제(chelating agent) 역할을 함으로써 철(Fe), 아연(Zn) 등과 같은 영양소를 식물이 더 쉽게 흡수할 수 있는 형태로 전환시킨다.21 이를 통해 식물의 영양분 흡수 효율이 향상되며, 토양 비옥도가 높아진다. 결과적으로, 하이드로젤은 식물에 대한 수분 공급뿐만 아니라 토양 내 미생물 활동을 촉진하고 영양소 가용성을 높이는 기능을 통해 토양 생태계에 긍정적인 영향을 미치며, 농업적 활용에 있어 지속 가능성을 제시할 수 있는 잠재력을 갖추고 있다.
|
Figure 4 (a) Actuation process of the bilayer hydrogel film; (b) Swelling behavior of the bilayer hydrogel film in water. |
|
Figure 5 (a) FTIR analysis of crosslinked bilayer hydrogel films; (b) Difference in swelling behavior between room-temperature dried noncrosslinked film and 130 ℃ crosslinked hydrogel film after soaking in water. |
|
Figure 6 (a) Water evaporation ratio of hydrogel film and paper over 14 days; (b) seed germination ratio using bilayer hydrogel film and paper under minimal water conditions (in non-soil environments); (c) image of seed germination experiment in a non-soil environment; (d) hydrogel wrapping the seed in its swollen state after water absorption (left) and in its dried state after water evaporation (right). |
|
Figure 7 (a) Seed germination ratio in soil with and without bilayer hydrogel film under minimal water conditions; (b) biodegradability of bilayer hydrogel film evaluated through soil burial tests. |
본 연구에서는 CMCNa과 구연산을 이용하여 자가 구동 특성을 가진 이중층 하이드로젤 필름을 개발하고, 씨앗발아 촉진 성능을 평가하였다. 연구 결과, 구연산 농도에 따른 팽윤도 차이를 활용하여 자가 구동이 가능하며, 물을 주었을 때 하이드로젤이 씨앗을 감싸 씨앗 주변에 최적의 수분 환경을 제공할 수 있음을 입증하였다. 개발된 이중층 하이드로젤 필름 중 CA-1,2 필름은 빠른 팽윤 속도와 적절한 곡률로 씨앗을 효과적으로 감싸면서도, 생장점을 막지 않고 산소 공급을 원활히 하는 구조적 장점을 지니고 있었다.
더욱이, 하이드로젤 필름은 상용 육묘 배지 종이보다 우수한 수분 유지력을 보여 극소량의 물 환경에서도 안정적인 수분 공급이 가능하였다. 씨앗 발아 실험에서는 CA-1,2 하이드로젤 필름을 사용한 그룹이 높은 발아율과 빠른 발아 속도를 나타냈으며, 이는 하이드로젤의 뛰어난 수분 보유력과 자가 구동 특성에 기인하였다. 또한, 하이드로젤 필름은 생분해성이 뛰어나 토양에서 모두 분해되어, 기존의 생분해되지 않는 SAP와 달리 환경에 잔류하지 않아 지속 가능한 농업 환경 조성에 기여할 수 있다.
결과적으로, 본 연구에서 개발한 CMCNa/구연산 기반 자가 구동 이중층 하이드로젤 필름은 지속 가능한 농업을 위한 씨앗 코팅 기술로서 유망한 대안이 될 수 있는 가능성을 보였다. 이 이중층 CMC 하이드로젤 필름은 극소량의 물로도 씨앗 발아를 효과적으로 촉진할 수 있으며, 토양 생태계에 긍정적인 영향을 미칠 수 있어 건조한 환경에서의 농업적 활용 가능성을 제시한다.
This Article2025; 49(4): 472-478
Published online Jul 25, 2025
Services
Correspondence toPukyong National University, Department of Polymer Engineering, 45 Yongso-ro, Nam-gu, Busan 48513, Korea