
Department of Polymer Engineering, Sungkyunkwan University, 2066, Seobu-ro, Jangan-gu, Suwon-si, Gyeonggi-do, Korea
성균관대학교 고분자공학과
Reproduction, stored in a retrieval system, or transmitted in any form of any part of this publication is permitted only by written permission from the Polymer Society of Korea.
This study aimed to prevent blooming and improve the flame retardancy of the resin by synthesizing reactive phosphorus flame retardants and forming a network structure together with resins and curing agents. Through the nucleophilic substitution reaction of phosphorus chloride and acrylic reactants, Tris[2-(methacryloyloxy)ethyl]phosphate (TMOEP), bis(methacryloyloxyethyl)phenyl phosphate (BMOEPP), and methacryloyloxyethyl diphenyl phosphate (MOEDPP) were synthesized. Curing conditions were established through thermal analysis and curing degree measurement, flame retardancy and thermal properties were evaluated, and the action of the flame retardant in a solid phase was confirmed through char formation. As a result, BMOEPP showed the best flame retardancy performance. Through the results of this study, the mechanism for improving the flame retardancy of resin using reactive phosphorus flame retardants was identified, and the applicability of this to high-performance printed circuit board (PCB) materials was suggested.
본 연구에서는 반응성 인계 난연제를 합성하고 수지, 경화제와 네트워크 구조를 형성함으로써 블루밍 현상을 방지하고 수지의 난연성을 향상시키는 것이 목표이다. 인 염화물과 아크릴계 반응물의 친핵성 치환반응을 이용하여, tris[2-(methacryloyloxy)ethyl]phosphate(TMOEP), bis(methacryloyloxyethyl)phenyl phosphate(BMOEPP), methacryloyloxyethyl diphenyl phosphate(MOEDPP) 총 3종의 난연제를 합성하였다. 열분석 및 경화도 측정을 통해 경화 조건을 확립하고, 난연성 및 열적 특성을 평가하였으며, char 형성을 통해 고상에서의 난연제의 작용을 확인하였다. 그 결과, BMOEPP가 가장 우수한 난연 성능을 보였다. 본 연구 결과를 통해 반응성 인계 난연제를 활용한 수지의 난연성 향상 메커니즘을 규명하고, 이를 고성능 printed circuit board(PCB) 소재에 적용가능성을 제시하였다.
In this study, a thermosetting poly(phenylene oxide) (PPO) resin-based formulation, which is widely used as a low dielectric and low-loss dielectric material in the printed circuit board (PCB) industry, was selected to enhance flame retardancy. The goal was to improve the flame retardant properties by blending the synthesized flame retardants with a typical PPO/triallyl isocyanurate (TAIC) system used in actual applications.

Keywords: reactive flame retardant, printed circuit board, methyl methacrylate terminated poly(phenylene oxide), UL-94 vertical burning test.
저자들은 이해상충이 없음을 선언합니다.
고주파수 대 5G 및 6G 통신 기술의 발전은 전자 패키징 및 인쇄 회로 기판 printed circuit board(PCB)의 유전 손실이 적은 기판 소재
에 대한 수요를 증가시키고 있다. 저유전 수지 개발에 있어서는, 고주파/고속용, 내열성, 가격 경쟁력에 따른 수지의 화학 구조에 대한 깊은 이해를 바탕으로, 고온, 다습, 열충격 등과 같은 가혹한 환경에서도 고성능 PCB의 장기적인 신뢰성을 보장할 수 있는 실현 가능한 솔루션을 개발하는 것이 중요하다.1-7
고분자 기반 복합소재는 세라믹 소재에 비해 연성이 높고 유전율이 낮지만, 고주파 및 고속 시스템에서는 상대적으로 높은 유전 손실과 낮은 열 안정성으로 인해 적용에 제약이 있다. 대표적인 저유전 수지로는 methyl methacrylate terminated poly(phenylene oxide)(PPO) resin(NORYLTM SA9000, MPPO)이 있다. PPO의 견고한 구조는 높은 유리전이온도, 우수한 유전 특성, 뛰어난 열 안정성, 낮은 열팽창계수 값, 낮은 가연성, 흡습성, 산과 알칼리에 대한 저항성, 그리고 높은 내수분해성을 갖도록 했다. 이러한 뛰어난 성능 덕분에 전자 재료에 널리 사용되었으나, 높은 분자량을 갖고 있어 열경화시스템에서 불용성, 낮은 사용 온도, 높은 점도 등으로 가공이 제한적이었으며, copper clad laminate(CCL) 제조 공정에는 적합하지 않았다. 이를 개선하기 위해 기존 PPO의 장점을 유지하면서 열경화성 수지로 변형된 MPPO를 개발하였고, 가교 구조 형성을 통해 우수한 열 안정성과 치수 안정성을 확보하였다.6,8
PCB의 기본 구성 단위는 CCL이며, 상업적으로 가장 많이 사용되는 PCB 코어는 flame retardant-4(FR-4)이다. FR-4는 에폭시 수지, 필러, 난연제, 유리 섬유로 구성되어 있으며, 높은 난연성을 요구한다.1,4,5
고분자 물질의 연소는 응축상과 기체상, 그리고 이들 사이의 복잡한 단계를 포함한다. 첨가형 난연제는 저렴해 널리 사용되지만, 고분자 표면층에서 휘발되거나 용출될 수 있어 연소 억제 능력을 상실할 위험이 있다. 이에 따라 난연제에 반응성기를 도입해 수지와 경화제를 함께 화학적인 결합을 통해 경화시스템을 구현하면 이러한 단점을 극복할 수 있으며, 이를 반응형 난연제라고 한다. 하지만, 난연제를 첨가하면 비용 증가뿐만 아니라 PCB의 가공성과 물성이 저하될 수 있기 때문에, 최소한의 양으로 최대한의 효과를 얻는 것이 이상적이다. 또한, 경화 시스템에서 난연제 관능기의 수와 함량을 조절하는 것은 난연 컴파운드를 디자인과 난연 성능 최적화에 중요하다.9-13
본 연구에서는 수지, 경화제, 난연제가 경화 후 가교 네트워크 구조를 형성하여 추후 블루밍 현상을 방지하는 반응형 난연제를 설계하였다. 종류로는 유기 난연제 중에서도 비할로겐계, 그 중에서도 응축상에서 작용하는 인계 난연제를 합성하였으며, 합성물은 인염화물과 2-hydroxyethyl methacrylate(HEMA) 간의 친핵성 치환반응을 통해 tris[2-(methacryloyloxy)ethyl]phosphate (TMOEP), bis(methacryloyloxyethyl)phenyl phosphate(BMOEPP), methacryloyloxyethyl diphenyl phosphate(MOEDPP) 총 3종이다.
PCB 산업에서 대표적인 저유전 및 저손실 유전층 재료로 사용되는 열경화성 PPO 수지 기반 포뮬레이션을 선택하여 난연성 향상 연구를 진행하였다. 따라서, 반응형 인계 난연제를 사용하는 열경화성 수지의 난연성 향상 메커니즘을 요약하는 데 기여하며, 고주파 및 고속 응용을 위한 첨단 전자 패키징 및 PCB 재료의 난연성을 더 잘 이해하는 데 도움을 줄 수 있다. 또한, 열경화시스템을 고성능 CCL 재료로 적용할 수 있는 가이드를 제공한다는 점에서 의의가 있다.
시약 및 재료. 본 연구에서는 methacryl 변성 인계난연제 합성을 위해 phosphorus oxychloride(POCl3)와 2,6-di-tert-butyl-4-methylphenol(BHT)는 Sigma-aldrich(미국), phenyl dichlorophosphate(PDCP), diphenyl chlorophosphate(DPCP)와 2-hydroxyethyl methacrylate(HEMA)는 TCI(일본)에서 구매하여 별도의 정제 과정없이 사용하였다. 반응 용매로 Samchun chemical(한국)의 tetrahydrofuran(THF), 염기로 Daejung chemicals (한국)의 trimethylamine(TEA)을 사용하였으며, calcium hydride로 정제 후 사용하였다. 반응 후 분리·정제를 위해 Samchun chemical(한국)의 dichloromethane(DCM)과 hydrochloric acid (HCl)를 사용하였다. 난연 컴파운드를 제작하기 위해 SABIC (사우디아라비아)의 NORYLTM SA9000(MPPO), TCI(일본)의 triallyl isocyanurate(TAIC), Thermo fisher scientific(미국)의 dicumyl peroxide(DCP)를 사용하였고, 화학구조와 그 기능을 Table 1에 정리하였다.
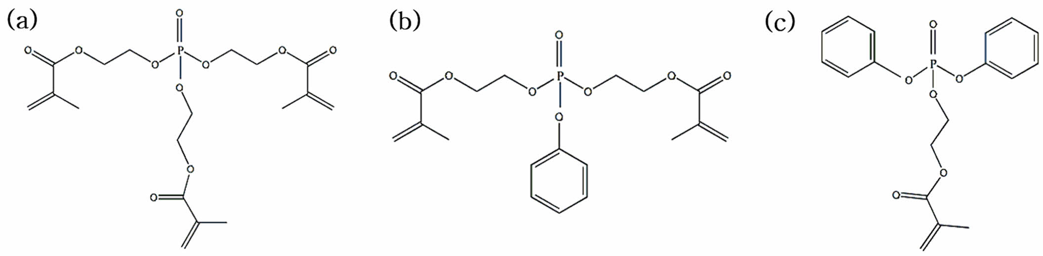
Methacryl Phosphate계 난연제 합성. 250 mL의 3구 둥근 바닥 플라스크에 2-hydroxyethyl methacrylate(28.01 g), trimethylamine(21.78 g), BHT(1 wt% of HEMA), 정제된 THF (40 wt% solid contents)를 넣고, magnetic stirrer를 이용하여 1000 rpm의 속도로 30분 동안 교반하며 ice bath로 0 ℃까지 냉각하였다. 이후, THF에 50 wt% 희석한 phosphorus oxychloride (10 g)를 dropping funnel을 이용하여 30분간 천천히 적하하고, ice bath 제거 후 상온에서 12시간 반응시켰다. 정제는 1 wt% HCl(200 mL)로 산 수세하고, DCM(400 mL)로 유기 성분을 추출 후 증류수로 2회 추가 세척하였다. Rotary evaporator로 용매를 제거하고, hexane(150 mL)에 침전시켜 BHT를 제거한 후, vacuum oven을 이용하여 진공 건조하고 연한 노란빛의 액체 생성물인 TMOEP를 획득하였다. POCl3외 PDCP와 DPCP를 사용하여 각각 BMOEPP와 MOEDPP를 합성하였다. 이 3가지 난연제의 분자구조를 Figure 1에 나타내었다.
난연제 분석. 합성한 methacryl phosphate계 난연제의 화학구조는 FTIR와 1H NMR로 분석하였다. FTIR 스펙트럼은 Thermo scientific(미국)사의 Nicolet iS5모델을 이용하여 4000~500 cm-1에 해당하는 파장 영역을 분석하였고, 1H NMR 스펙트럼은 Bruker(미국)사의 AVANCE III 700모델을 이용하여 700 MHz에서 수행하였으며, 용매로 chloroform-d(CDCl3) 사용하였다. 순도 측정은 GPC(Agilent Infinity 1260, 미국)를 이용하여 분석하였다. 분석 결과는 각각 Figure 2에 나타내었다.
난연 컴파운드 제조. 난연 평가를 진행하기 위한 샘플을 제작하기 위해 MPPO, TAIC, DCP, 합성한 난연제를 균일하게 혼합한 후, 이를 125 × 13 × 3 mm 규격의 스테인레스 몰드에 투입 후 경화하여 난연 컴파운드 시편을 제작하였다.
Gel Content 측정. 열경화 시간에 따른 난연 컴파운드의 경화도를 비교하기 위해, 시간별로 경화 후 필름을 적정 용매에 투입 후 무게의 차이를 이용하여 gel content를 측정하였다. 먼저, 전자저울을 이용하여 난연 컴파운드 샘플의 초기 무게(W0)를 측정한 후, toluene에 함침하였다. 24시간 후, 함침시켰던 샘플을 80 ℃ convection oven에서 건조한 후, 난연 컴파운드 샘플의 무게 W24를 측정하였다. Gel content의 수식은 다음과 같다.

W0: 열경화 후 샘플의 무게(g)
W24: 용매에 침지 후 건조된 샘플의 무게(g)
열적 특성 및 난연 평가. 난연 컴파운드의 열분해 거동과 조성을 결정하기 위해 TA Instruments(미국)의 Q20 모델 DSC를 이용해 질소 분위기에서 50 ℃부터 250 ℃까지 10 ℃/min로 승온시키며 분석을 실시하였다. TA Instruments(미국)의 Q50 모델 TGA를 이용해 질소 및 공기 분위기에서 50 ℃부터 600 ℃까지 20 ℃/min로 승온시키며 중량 변화에 따른 온도와 char 생성량을 분석하였다. Fire testing technology(영국)의 LOI 테스트기기와 UL-94 V 테스트를 통해 난연 평가를 진행하였으며, 산소 지수에 따른 LOI value 값과 시편에 불꽃을 가해 연소 시간(t1, t2)과 glowing time(t3)을 측정한 후 V-0, V-1, V-2 또는 NR 등급을 부여하였다.
|
Figure 1 Chemical structure of reactive flame retardants: (a) TMOEP; (b) BMOEPP; (c) MOEDPP. |
|
Figure 2 (a) FTIR spectra of TMOEP, BMOEPP, and MOEDPP; (b) 1 H NMR spectra of BMOEPP; (c) GPC curves of TMOEP, BMOEPP, and MOEDPP. |
열경화 조성 결정. [MPPO/TAIC/DCP] 시스템에서는 DCP 함량에 따른 DSC curve를 Figure 4에, 결과를 Table 2에 나타내었다. DCP의 함량은 MPPO과 TAIC를 합한 값 대비 phr로 첨가하였다. DCP가 10 phr로 많을 때는 오히려 두 성분 간의 혼합균일성이 감소하는 것으로 보아 DCP의 적당한 함량이 중요함을 확인하였다. DCP의 함량이 2 phr일 때 Onset온도는 147.57 ℃, peak 온도는 175.93 ℃로 120 ℃에서 220 ℃가 가장 적당한 경화온도임을 확인하였다.
[TAIC/DCP/PFR] 시스템의 조성을 결정하기 위한 DSC curve를 Figure 5에, 결과를 Table 3에 나타내었다. 예외적으로 T3의 경우, 130 ℃ 부근에서 발열피크가 추가로 확인됨을 보아 다른 두 난연제보다는 혼합균일성이 떨어지고, B2, M1의 경우, 세 성분의 혼합균일성이 우수함을 확인하였다.
[MPPO/TAIC/DCP/PFR] 시스템의 조성을 결정하기 위한 DSC curve를 Figure 6에, 결과를 Table 4에 나타내었다. T3의 경우, 130 ℃ 부근에서 발열피크가 추가로 확인됨을 보아 다른 두 난연제보다는 혼합균일성이 떨어지고, B2, M1의 경우, 네 성분의 혼합균일성이 우수함을 확인하였다. 발열시작 온도, peak 온도, 발열종료 온도를 각각 120, 175, 220 ℃ 부근임을 확인하였고, 추후 gel content를 측정하는 데의 경화 온도 변수로 설정하였다.
Gel content 측정. 경화 조건에 따른(MPPO/TAIC/DCP/PFR) 시스템의 gel content 테스트를 진행하고 그 결과를 Table 5에 나타내었다. 175 ℃에서 30분 및 1시간 경화한 샘플은 미경화 부분이 남아 2차 경화가 필요함을 확인하였으며, 175 ℃ 1시간 후 220 ℃ 30분 추가 경화한 샘플은 99% 이상의 gel content를 보여 완전 경화됨을 확인하였다. 또한, 난연제 첨가 시 경화 시간이 증가함을 확인하였으며, 최적 경화 조건을 175 ℃ 2시간, 220 ℃ 1시간으로 결정하였다. Figure 7에 경화 profile을 나타내었다.
열적 특성. 난연 컴파운드의 분해 온도 및 char 생성을 확인하기 위해 TGA 분석을 진행하였다. 5, 10, 50% 분해 온도 및 600 ℃에서의 char 생성량을 질소 및 공기 분위기에서 확인하였고 그 결과를 Figure 9와 Figure 10에 나타내었다.
질소 조건에서 세 종류의 난연제 모두 char 생성량이 20% 이상임을 확인할 수 있었다. 또한, 난연제를 첨가하지 않은 경우는 약 14%로, 1.4배 증가한 것을 볼 수 있었다. 한편, 난연 컴파운드의 분해 온도는 감소하는 것을 확인할 수 있었다. 난연제를 첨가한 샘플에서 첨가하지 않은 샘플에 비해 분해온도가 낮아지는 것을 관찰할 수 있었고, 특히 MOEDPP의 경우, 분해 온도 감소가 가장 크게 관찰되었다. 이는 난연제의 구조가 MPPO와 TAIC에 비해 내열성이 떨어져 경화 후 분자 구조의 열화가 발생하였다고 판단하였다. 난연제의 분자구조 상에서 phenyl기의 입체장애로 MPPO과 TAIC와 반응하기 어려워 상대적으로 가교 네트워크 구조의 형성이 어려웠다고 생각하였다. 또한, 적은 이중결합 개수로 인해 반응성이 낮아 TAIC의 이중결합과 반응하기 어려워 경화되지 못한 부분이 다른 난연제에 비해 상대적으로 다수 존재한다고 판단하였다. 공기 조건에서의 char 생성량은 난연제를 첨가하지 않았을 때 5%, 난연제를 첨가한 경우는 약 20%로, 질소분위기와 비슷한 결과를 보였다. TMOEP의 경우, 혼합 균일성이 좋지 못해 char 생성량이 떨어진다고 판단하였다.
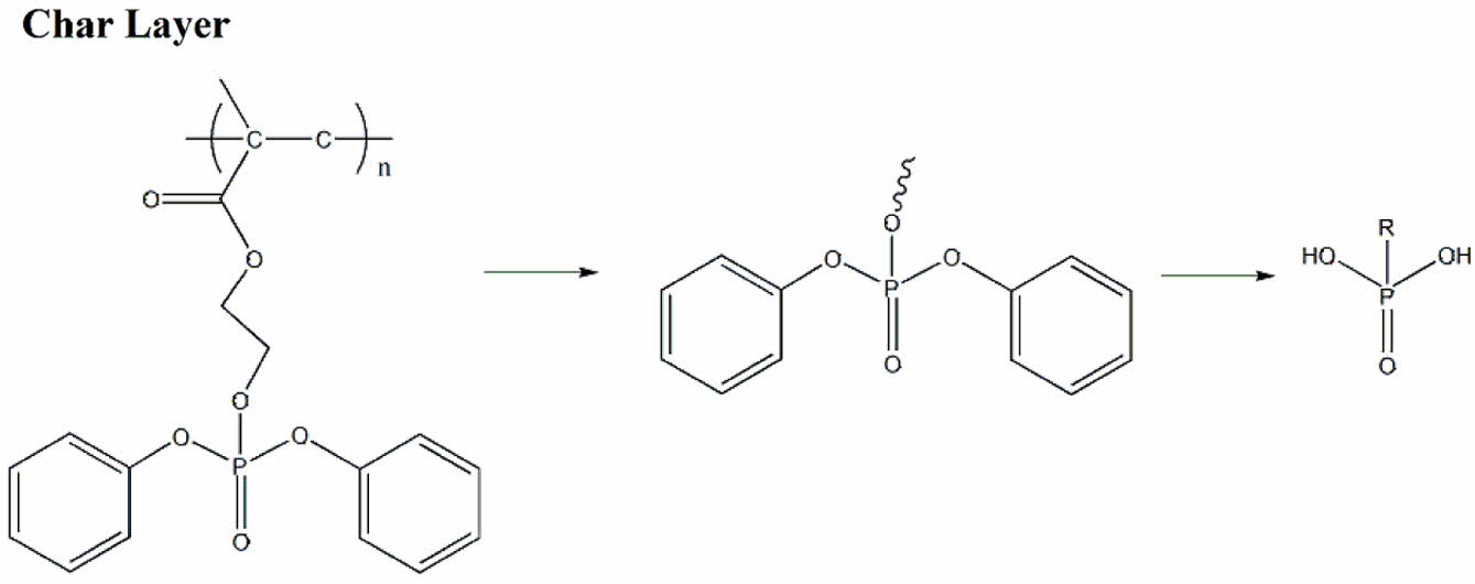
난연제를 첨가 하지 않은 샘플은 char 생성량이 낮기 때문에 난연 작용은 하지 못한다고 판단하였다. 난연제를 첨가할 경우, condensed phase에서 char형성을 촉진한다는 것을 확인할 수 있었고, 그 중 BMOEPP가 가장 낮은 이행성을 보였고, 나머지 두 난연제는 화학적으로 결합하지 못하고 물리적으로 섞여 있는 부분이 다수 존재한다고 판단하였다. 결과적으로, 합성한 난연제가 응축상에서 작용하여 생성된 char가 고분자 표면에서 보호층 역할을 하여 산소와의 접촉을 지연시켰다고 생각하였고, 그 중 MOEDPP의 char 형성과정을 Scheme 1에 나타내었다.
Scheme 1. Char formation process of MOEDPP.
난연성. UL-94 V 및 LOI 테스트를 통해 난연 컴파운드의 난연성을 평가하였다. 난연제를 첨가하지 않은 컴파운드는 UL-94 V에서 V-2 등급, LOI 값은 24%로 측정되었다. 세 가지 난연제 모두 30 phr 이상 첨가 시 V-1 등급을 보였고, BMOEPP는 50 phr에서 V-0 등급으로 가장 우수한 난연성을 나타내었다.
또한, UL-94 V 및 LOI 테스트 결과는 TGA 열분석 결과와 유사한 경향을 보였다. 인 함량은 MOEDPP, BMOEPP, TMOEP 순으로 많고, 이중결합 개수 즉 반응성은 TMOEP, BMOEPP, MOEDPP 순으로 높았는데 가장 높은 인 함량을 가진 MOEDPP는 반응성이 가장 낮고, TMOEP는 TAIC와 균일혼합성이 떨어지기 때문에 BMOEPP가 가장 최적의 인 함량과 반응성을 가졌다고 판단하였다. Figure 8에 BMOEPP의 함량에 따른 난연성 평가 결과를 정리하였다.
|
Figure 3 Method of (a) UL-94 V test; (b) limiting oxygen index (LOI) test. |
|
Figure 4 DSC curves of samples with different initiator content. |
|
Figure 5 DSC curves of [TAIC/DCP/PFR] systems with different PFR. |
|
Figure 6 DSC curves of [MPPO/TAIC/DCP/PFR] systems with different PFR. *T3: TMOEP, B2: BMOEPP, M1: MOEDPP |
|
Figure 7 Curing profile in thermosetting system. |
|
Figure 8 LOI values and UL-94 V test results of samples with different BMOEPP content. |
|
Figure 9 TGA curves of [MPPO/TAIC/DCP/PFR] systems with different PFR contents under N2 atmosphere: (a) TMOEP; (b) BMOEPP; (c) MOEDPP. |
|
Figure 10 TGA curves of [MPPO/TAIC/DCP/PFR] systems with different PFR contents under Air atmosphere: (a) TMOEP; (b) BMOEPP; (c) MOEDPP. |
|
Table 5 Gel Contents of [MPPO/TAIC/DCP/PFR] Systems with Different Curing Conditions |
본 연구에서는 열경화성 MPPO의 난연성을 향상시키기 위해 불포화기를 함유한 반응형 인계 난연제의 인 함량과 반응기의 수를 조절하여 3가지의 난연제 TMOEP, BMOEPP, MOEDPP를 합성하였다. 합성한 인계 난연제를 [MPPO/TAIC/DCP/PFR] 시스템에 적용하여 DSC 열분석을 통해 열경화 조성을 확립한 후, gel content test를 통해 경화 시간 및 온도를 결정하였다.
[MPPO/TAIC/DCP/PFR] 시스템의 TGA, UL-94 V 및 LOI 테스트를 통해 난연성을 평가하였다. TGA에서 열분해 거동을 관찰한 결과 난연제를 첨가한 경우 char 생성량이 약 20%임을 확인하였다. 이는 합성한 난연제가 condensed phase에서 작용하여 생성된 char가 고분자 표면에서 보호층 역할을 하여 산소와의 접촉을 지연시켰다고 생각하였다.
열경화 거동 관찰 및 난연성 평가를 통해 불포화기를 함유한 반응형 인계 난연제를 MPPO에 적용할 때 난연제의 반응성기 수와 함량이 난연성에 미치는 영향을 확인할 수 있었다. BMOEPP가 가장 최적의 인 함량과 반응성을 가졌다고 생각하였고, 가장 우수한 성능을 보였다. 이를 통해, 난연제의 높은 함량은 물성을 저하시킬 수 있고 최소한의 양으로 최대한의 효과를 보는 것이 가장 좋다고 생각하였다. 또한, 경화 시스템에서 난연제의 관능기 수와 양을 조절하는 것이 난연 컴파운드를 디자인하고 난연 성능을 최적화하는데 중요하다는 것을 확인하였다.
This Article2025; 49(6): 731-737
Published online Nov 25, 2025
Services
Correspondence toDepartment of Polymer Engineering, Sungkyunkwan University, 2066, Seobu-ro, Jangan-gu, Suwon-si, Gyeonggi-do, Korea