
*Department of Chemical Engineering, Graduate School, Yeungnam University, Gyeongsan 38541, Korea
**Department of Chemical Engineering, Yeungnam University, Gyeongsan 38541, Korea
*영남대학교 대학원 화학공학과, **영남대학교 화학공학부
Reproduction, stored in a retrieval system, or transmitted in any form of any part of this publication is permitted only by written permission from the Polymer Society of Korea.
This study explores the effect of polypropylene grafted maleic anhydride (PP-g-MA) and ethylene-butylacrylate-glycidylmethacrylate (EBA-GMA) compatibilizers on the mechanical and thermal properties of biodegradable poly(lactic acid) (PLA)/poly(butylene succinate) (PBS) (80/20) blends. While PLA provides high strength, its brittleness limits its use; PBS adds flexibility but is poorly compatible with PLA. To address interfacial incompatibility, the two compatibilizers were added both individually and in combination at concentrations ranging from 0.25 to 5 phr. The blends were characterized through tensile testing, differential scanning calorimetry (DSC), Fourier transform infrared spectroscopy (FTIR), X-ray diffraction (XRD), rheological analysis, and dynamic mechanical analysis (DMA). The addition of 0.75 phr of a 50:50 PP-g-MA/EBA-GMA mixture yielded the highest tensile strength and the lowest loss tangent, which indicates improved interfacial adhesion and reduced phase separation. These results demonstrate that the synergistic use of PP-g-MA and EBA-GMA improves blend compatibility and mechanical performance, providing an effective strategy for enhancing the processability and durability of PLA/PBS materials for broader application in sustainable polymer-based products.
본 연구는 생분해성 고분자인 poly(lactic acid)(PLA)/poly(butylene succinate)(PBS)(80/20) 블렌드의 기계적 및 열적 특성 향상을 위해 상용화제 polypropylene grafted maleic anhydride(PP-g-MA)와 ethylene-butylacrylate-glycidylmethacrylate(EBA-GMA)의 효과를 분석하였다. 각 상용화제는 0.25-5 phr 범위에서 단독 및 혼합 형태로 첨가되었으며, 인장 시험, 시차주사열분석(DSC), 푸리에 변환 적외선분광법(FTIR), X-선 회절(XRD), 유변학 및 동적기계분석(DMA) 분석을 통해 특성을 평가하였다. PP-g-MA와 EBA-GMA를 0.75 phr, 50:50 비율로 혼합한 조건에서 가장 높은 인장강도와 가장 낮은 손실탄젠트가 나타났으며, 이는 계면 접착력 향상과 상분리 억제에 기인한 결과로 해석된다. 두 상용화제의 상호작용은 PLA/PBS 블렌드의 기계적 물성을 높이는 데 효과적이었다.
Polypropylene grafted maleic anhydrid (PP-g-MA) and ethylene-butylacrylate-glycidylmethacrylate (EBA-GMA) were jointly added as compatibilizers to PLA/PBS (80/20) blends. The optimized composition (0.75 phr, 50:50) led to enhanced interfacial adhesion and improved mechanical performance.

Keywords: poly(lactic acid), poly(butylene succinate), polypropylene grafted maleic anhydride, ethylene-butylacrylate-glycidylmethacrylate, compatibilizer.
이 연구는 2025년도 영남대학교 학술연구조성비에 의한 것임.
저자(들)는 이해상충이 없음을 선언합니다.
전 세계적으로 플라스틱 폐기물의 발생량이 급격히 증가하면서 환경 오염 문제가 심화되고 있다. Geyer 등(2017)은 1950년부터 2015년까지 약 82억 톤의 플라스틱이 생산했으며, 그 중 약 60% 이상의 플라스틱이 폐기물로 전환되었다고 보고하였다.1-2 바이오 플라스틱은 기존 석유 기반 플라스틱의 환경 오염 문제를 보완할 수 있는 대안으로 주목받고 있으며, 이에 따른 수요가 꾸준히 증가하고 있다.3
Poly(lactic acid)(PLA)는 옥수수, 사탕수수, 밀 등 재생 가능 자원에서 추출한 전분이나 당분을
원료로 한 생분해성 바이오 플라스틱으로, 높은 기계적 강도, 가공성, 우수한 생체 적합성을 가지고 있어 기존 석유 기반 폴리머를 대체할 소재로 평가된다.4-5 그러나 높은 취성으로 인한 낮은 파단 신율을 나타내며, 이로 인해 내구성과 인성을 요구하는 응용 분야에서의 활용이 제한된다.6 한편, 생분해성을 가지는 poly(butylene succinate)(PBS)는 우수한 유연성과 충격 강도, 높은 파단 신율을 가지고 있어 PLA와 블렌드(blend) 시 인성 개선 효과를 줄 수 있다. 이러한 조합은 PLA의 기계적 강도를 유지하면서도 취성을 개선해, 그 활용도를 확장시킬 수 있다.7,8
하지만 PLA와 PBS는 화학 구조와 극성의 차이로 인해 상용성이 부족하며, 이로 인해 PLA/PBS 블렌드 내 응집력이 약화되고, 결과적으로 내구성과 인장 강도와 같은 기계적 특성이 저하되는 문제가 나타난다.9
이러한 문제를 해결하기 위해 PLA/PBS 블렌드의 계면 접착력을 강화하고, 상분리 현상을 개선하기 위한 가소화 및 상용화제 첨가와 같은 다양한 접근법의 연구들이 수행되고 있으며 그중에서도 상용화제를 활용하는 방법은 두 고분자 간의 화학적 또는 물리적 상호작용을 증대시켜 블렌드의 균질성을 효과적으로 향상시키는 데 주목받고 있다.10,11
상용화제로 사용되는 polypropylene grafted maleic anhydride (PP-g-MA)는 PP사슬에 말레산 무수물을 그래프트(graft)하여 극성기를 도입함으로써 극성 고분자 또는 필러(filler) 간의 계면 접착력을 향상시켜 복합 소재의 기계적 및 열적 특성을 개선하는 상용화제로 널리 사용된다.12-13
Ethylene-butylacrylate-glycidylmethacry-late(EBA-GMA)는 에폭시(epoxy)기를 포함하고 있어 카복실(carboxyl, -COOH)기 및 하이드록실(hydroxyl, -OH)기와 개환 반응을 통해 화학적 결합을 형성하고 이러한 반응은 상용성이 낮은 고분자들 간의 계면 접착력을 향상시킨다. EBA-GMA는 PLA의 카복실기 및 하이드록실기와 반응하여 계면 접착력을 향상시키고, 상분리를 감소시킨다.14,15
현재까지의 문헌 검토에 따르면 PLA/PBS 블렌드의 상용성을 개선하기 위해 PP-g-MA와 EBA-GMA를 활용한 연구는 보고된 바 없다.
본 연구에서는 PP-g-MA와 EBA-GMA를 상용화제로 선정 후, 상용화제의 종류, 첨가량, 비율에 따른 PLA/PBS/상용화제 블렌드를 제조하였다. 제조한 블렌드의 열적, 유변학적 특성을 분석하고, 제조한 블렌드를 각각 필름(film) 시편으로 제조하여 인장, 점탄성 특성을 측정하여 각각의 상용화제와 혼합 조건, 첨가량이 PLA/PBS블렌드의 인장강도 및 열적 특성에 미치는 영향을 살펴보았다.
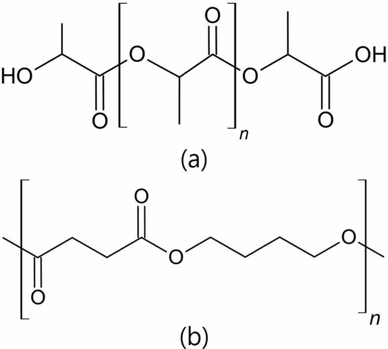
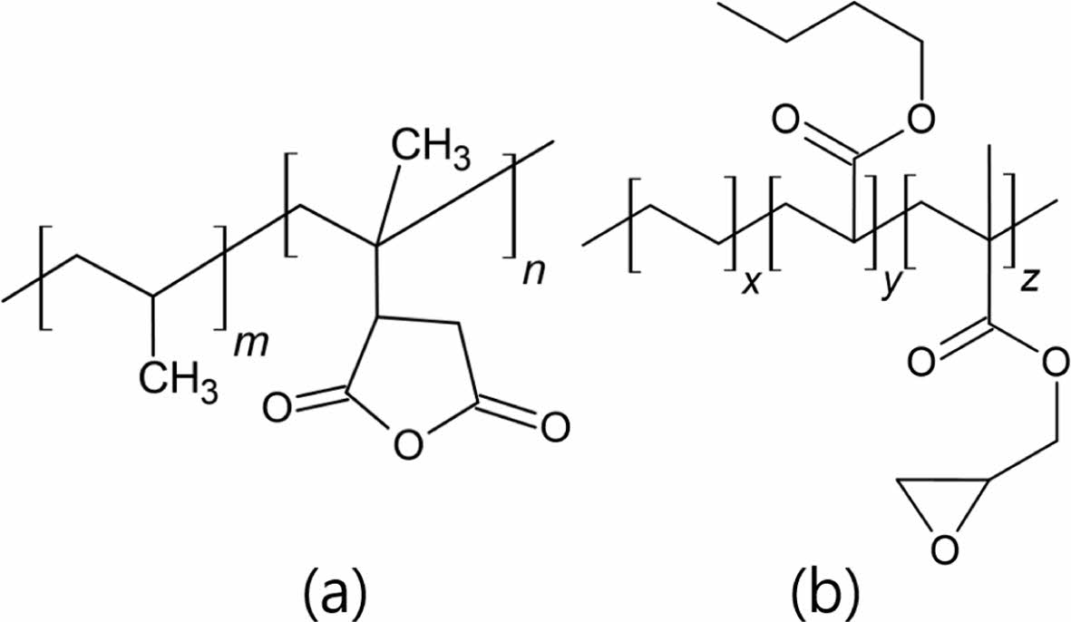
소재. 본 연구에서 사용한 소재인 PLA는 중국 Anhui BBCA Chemical사에서 제조된 제품을 사용하였고, PBS는 Soltech 사(Korea)의 Solpol 5000NB를 사용하였다. 상용화제로는 Sigma-Aldrich(China) 사의 maleic anhydride 함량 8-10 wt%의 PP-g-MA와 DuPont(USA) 사의 EBA-GMA를 사용하였다. 모든 재료는 사용 전 60 ℃에서 12시간 진공 건조하였다. Figure 1과 Figure 2는 PLA, PBS와 상용화제의 화학 구조이다.
PLA/PBS/상용화제 블렌드 제조. PLA와 PBS는 기계적 물성과 인성의 균형이 우수한 것으로 보고된 중량비 80:20으로 고정하였으며, 내부 혼합기(internal mixer)를 이용해 190 ℃에서 50 rpm으로 설정하여 5분간 블렌드하였다.16 상용화제는 각각 단독 및 1:1 혼합 형태로 0.25, 0.5, 0.75, 1, 3, 5 phr (parts per hundred) 농도로 첨가하였다. 블렌딩 후 시편 제작 전 다시 60 ℃에서 12시간 진공 건조하였다. Table 1에 PLA/PBS에 대한 상용화제의 혼합 조건을 나타냈다.
시편 제조 및 분석. PLA/PBS/상용화제 블렌드는 두 가지 형태의 시편으로 제조되었다. 필름 시편은 핫 프레스 (hot press) 상·하부의 온도를 190 ℃로 설정하고, 각 블렌드 5 g을 금형에 넣고, 3분간 예비 열처리(pre-heating) 후 150 bar 압력으로 2분간 압축하였다. 압축 후 시편은 상온에서 냉각하였고, 평균 두께는 약 0.90 mm 수준으로 균일하였다.
Dynamic mechanical analysis(DMA)용 쉬트(sheet) 시편은 플런저(plunger-type) 사출성형기를 이용하여 제작하였다. 블렌드를 210 ℃에서 6분간 예열 후 10 mm/s 속도로 금형에 사출하였다. 시편은 ASTM D4065의 3점 굽힘 조건을 참고하여 길이 60 mm, 너비 10 mm, 두께 3 mm로 제작되었으며, 상온에서 안정화한 후 DMA 분석에 사용되었다.
인장강도 및 탄성계수를 측정하기 위해 만능재료시험기(AGS-10kNX, Shimadzu)를 이용하여 실온 조건, 인장속도 50 mm/min, 파지거리 105 mm로 측정하였다.
열적 특성은 시차주사열량분석기(DSC, Q2000, TA Instruments)를 이용하여 40-190 ℃ 범위, 승온속도 20 ℃/min의 조건에서 측정하였다. 이때 PLA/PBS/상용화제 필름의 결정화도를 아래의 식 (1)을 이용해 계산하였다.

여기서, ∆Hm는 용융 엔탈피를, ∆Hc는 냉각 결정화 엔탈피, ∆Hf°는 100% 결정 상태의 PLA의 용융엔탈피를, w는 PLA의 질량 비율을 나타낸다. 결정화도는 PLA의 이론적 100% 결정 엔탈피(93.6 J/g)를 기준으로 계산하였다.
블렌드의 작용기 확인을 위해 푸리에 변환 적외선 분광기(QATR-S, Shimadzu)로 800-4000 cm⁻¹ 범위에서 측정하였다. 결정 구조를 파악하기 위해 X-선 회절 분석기(X-ray Diffractometer, PAN Alytical CO. Netherlands)를 이용하여 2θ=8-40°의 범위를 10°/min 속도로 측정하였다.
PLA/PBS/상용화제의 유변학적 특성을 파악하기 위해 회전형 레오미터(MCR 302e, Anton Paar, Austria)를 이용하여 190 ℃에서 shear rate 0.1-100 s⁻¹ 범위의 전단 점도와 0-100 Hz의 주파수 영역에서 저장탄성계수(storage modulus), 손실탄성계수(loss modulus)를 측정하고 손실탄젠트(loss tangent)를 구하였다. PLA/PBS/상용화제 시편의 점탄성은 DMA를 이용해 실온 조건에서 0-100 Hz 범위의 주파수에서 저장탄성계수(storage modulus), 손실탄성계수(loss modulus), 손실탄젠트(loss tangent)를 측정하였다.
PLA/PBS/상용화제 필름의 미세구조를 관찰하기 위해 백금 코팅 후 주사전자현미경(SEM, S-4800, Hitachi, Japan)을 사용하여 단면을 관찰하였다. 관찰은 10.0 kV, 배율 2000배와 3.0 kV, 배율 5000배 조건에서 각각 수행되었다.
|
Figure 1 Chemical structure of (a) PLA; (b) PBS. |
|
Figure 2 Chemical structure of (a) PP-g-MA; (b) EBA-GMA. |
Figure 3은 PLA/PBS/상용화제 필름의 인장강도 측정 결과를 나타낸 것이다. PP-g-MA, EBA-GMA 및 혼합 상용화제를 각각 첨가한 조건에서 첨가량이 0.75 phr일 때 인장강도가 가장 높았고, 그 이상 첨가 시에는 오히려 감소하는 경향을 나타냈다. 특히 혼합 상용화제 조건에서 각각의 단일 첨가보다 더 높은 인장강도를 보였으며, PP-g-MA와 EBA-GMA를 1:1 비율로 혼합한 경우 가장 우수한 인장 특성이 나타났다. 이는 두 상용화제 간의 상호작용이 PLA와 PBS 계면의 상용성을 효과적으로 개선한 데 기인한 것으로 판단된다.
Figure 4는 각 조건에 따른 초기 탄성계수(Young’s modulus)의 변화를 나타낸다. 첨가량이 0.5 phr일 때 최대값을 보였으며, 이후 첨가량이 증가함에 따라 점차 감소하는 경향을 나타냈다. 이는 상용화제가 과잉 첨가될 경우, 계면에서의 상호작용 효율이 저하되어 효과가 감소한 것으로 해석된다.
EBA-GMA의 비율이 높은 혼합 조건에서는 소폭의 증가 경향이 관찰되었으나, 전체적으로는 실험 오차 범위 내 변화로 판단되며 유의미한 개선 효과는 크지 않았다. 이러한 결과를 바탕으로, 인장강도와 초기 탄성계수를 종합적으로 고려하여 혼합 상용화제의 비율은 1:1(50:50)로 설정하였다.
Figure 5는 XRD 분석을 통해 PLA/PBS/상용화제 필름의 결정 구조 변화를 보여준다. PP-g-MA 및 EBA-GMA의 첨가량에 따라 일부 결정 피크의 세기가 변화하였으나, PLA/PBS 블렌드의 주요 결정 피크(16.5°, 19.4°, 22.5°)는 유지되는 것을 확인하였다. 이는 상용화제 첨가가 결정성에는 큰 영향을 미치지 않음을 의미하며, 적정 첨가량 범위 내에서는 물리적 특성 개선과 동시에 결정 구조의 안정성도 유지됨을 의미한다.
Figure 6은 상용화제의 종류 및 첨가량에 따른 PLA/PBS/상용화제 필름의 FTIR 스펙트럼을 나타낸다. 모든 시료에서 1750 cm⁻1(C=O 신축 진동), 1050–1200 cm⁻1(C–O–C 신축 진동) 영역의 특성 피크가 공통적으로 관찰되었다. PP-g-MA 첨가량이 증가할수록 2990 cm⁻1(C–H 신축 진동) 피크의 강도도 증가하는 경향을 나타냈다. 이는 PP-g-MA에 존재하는 메틸기(CH3)의 함량 증가에 기인한 결과로 해석된다.17 또한, PP-g-MA의 무수물 고리 및 EBA-GMA의 에폭사이드 고리가 PLA/PBS 말단의 -OH, -COOH기와 화학적으로 반응하여 공유 결합을 형성했음을 확인할 수 있었다. 이와 더불어, PP-g-MA의 극성 MA 그룹과 EBA-GMA의 극성 BA와 GMA가 극성고분자인 PLA와 PBS 고분자와의 쌍극자-쌍극자 인력에 의해 분자들 간의 친화도를 증가시킨다.
Figure 7은 DSC 분석 결과를 나타낸다. 상용화제 첨가에 따라 PLA/PBS 블렌드의 결정화온도(Tc)와 용융온도(Tm)는 증가하는 경향을 보였으며, 이는 상용화제가 계면에서의 상호작용을 통해 고분자 사슬의 정렬과 냉각 중 결정 성장을 유도한 결과로 해석된다.18 또한, 순수 PLA는 약 56 ℃에서 유리전이온도(Tg), 약 169 ℃에서 용융피크, PBS는 약 111 ℃에서 용융피크를 각각 나타냈다.
PP-g-MA 또는 PP-g-MA/EBA-GMA 혼합 첨가한 조건에서는 PBS 고유의 용융피크(111 ℃)가 발현되었는데, 이는 PP-g-MA가 PBS와의 상용성이 높고, 혼합 상용화제의 경우 EBA-GMA가 PLA와의 계면에서 주로 작용하면서 PBS 결정화를 방해하지 않았기 때문으로 판단된다. 특히 혼합 첨가 조건에서는 두 상용화제의 역할이 분산되어 PBS 결정 형성에 긍정적인 영향을 미친 것으로 해석된다.
반면, EBA-GMA를 단독 첨가한 조건에서는 PBS의 용융피크가 뚜렷하게 나타나지 않았으며, 이는 EBA-GMA의 비정질 특성과 상대적으로 큰 분자량으로 인해 고분자 사슬의 운동성이 제한되고 PBS 결정화가 억제되었기 때문으로 보인다. 이와 같은 결과는 상용화제의 조성과 작용 위치에 따라 PLA/PBS 블렌드 내 각 상의 결정성 및 열적 안정성이 달라질 수 있음을 보여준다.
PP-g-MA/EBA-GMA를 혼합한 조건에서는 PBS의 111 ℃ 부근 용융 피크가 뚜렷하게 나타나, 혼합 상용화제가 PBS 결정 형성에 긍정적 영향을 미친 것으로 판단된다. 반면, EBA-GMA를 단독 첨가한 경우에는 상대적으로 큰 분자량으로 인해 운동성이 제한되어 결정화가 억제되었을 가능성이 있다.
Figure 8은 상용화제 종류에 따른 결정화도(Xc) 변화를 비교한 것으로, 모든 시료에서 결정화도는 큰 변동은 없었으며 이는 상용화제 첨가 수준이 결정화도를 저해하지 않으면서 PLA 매트릭스 내 PBS의 미세 균일 분산을 유도하여 결정 성장을 방해하지 않은 것 판단된다.
Figure 9는 PLA/PBS/상용화제 블렌드의 전단 점도(shear viscosity)를 전단속도(shear rate) 0.1–100 s⁻1 범위에서 측정한 결과를 나타낸다. PP-g-MA를 첨가한 시편은 순수 PLA/PBS 블렌드와 유사한 점도 거동을 보였으며, 이는 PP-g-MA 첨가가 블렌드의 유변학적 특성에는 큰 변화를 초래하지 않아 가공성에는 큰 영향이 없을 것으로 예상된다.
반면, EBA-GMA를 단독으로 첨가한 시편에서는 첨가량 증가에 따라 점도가 상승하는 경향을 나타냈으며, 이는 높은 분자량과 가지 형태의 분자 구조로 인해 고분자 사슬 간 얽힘(entanglement)이 증가한 결과로 해석된다. 혼합 상용화제 조건에서는 두 상용화제 간의 상쇄 효과로 인해 점도 상승 폭이 상대적으로 완만하였으며, 전반적인 점도 수준은 실제 가공 공정에서 문제가 되지 않을 정도로 안정적으로 유지되었다.
Figure 10은 190 ℃에서 측정한 손실탄젠트(tan δ) 값을 나타내며, 이는 재료의 점탄성 거동을 평가하는 간접적인 지표로 활용된다. 전반적으로 상용화제 첨가량이 증가함에 따라 tan δ 값은 점차 감소하는 경향을 보였으며, 특히 0.75 phr 조건에서 가장 낮은 값을 나타냈다. 상용화제의 첨가로 인해 계면 접착력이 향상되고 상분리 현상이 억제되어, 내부 응력 전달이 효율적으로 이루어진 데 기인한다. 이에 따라 점탄성 특성은 보다 탄성적 거동에 가까워졌음을 의미한다.
Figure 11은 DMA 장비를 이용하여 실온 조건에서 손실탄젠트(tan δ)를 측정한 결과를 나타낸다. PP-g-MA를 단독 첨가한 조건에서는 첨가량 0.5 phr에서 가장 낮은 tan δ 값을 보였으며, 그 이상에서는 오히려 증가하는 경향이 나타났다. 이는 적정량의 PP-g-MA가 PLA와 PBS 간의 계면 상호작용을 효과적으로 향상시키는 반면, 과량 첨가 시에는 상분리 또는 점도 증가와 같은 변화로 인해 발생한 것으로 추론된다.
반면, EBA-GMA 및 PP-g-MA/EBA-GMA 혼합 첨가 조건에서는 0.75 phr에서 가장 낮은 tan δ 값을 기록하였으며, 이는 계면 접착력의 향상과 분산 안정성 증가가 점탄성 특성 개선에 효과적으로 기여했음을 시사한다. 특히 혼합 상용화제 조건에서는 인장강도와 유사한 경향이 관찰되어, 기계적 특성과 동적 기계 특성 간의 일관성을 확인할 수 있었다. 이러한 결과는 상용화제 조성의 최적화가 PLA/PBS 블렌드의 구조적 안정성과 동적 거동을 동시에 향상시킬 수 있음을 보여준다.
Figure 12–15는 상용화제 무첨가 및 첨가 조건에서 제조된 PLA/PBS 필름의 단면을 주사전자현미경(SEM)으로 관찰한 이미지이다. 상용화제를 첨가하지 않은 조건에서는 PBS가 PLA 매트릭스 내에 비균일하게 분산되어 있으며, 계면 경계가 불명확하고 크기가 큰 PBS 상(domain)이 국소적으로 존재하는 모습이 확인되었다. 이러한 미세구조는 계면 접착력 부족으로 인한 상분리 현상의 결과로 해석된다.
반면, 상용화제를 첨가한 조건에서는 PBS 상의 크기가 감소하고 분산 상태가 보다 균일해진 미세구조가 관찰되었다. 특히 혼합 상용화제를 0.75 phr 첨가한 조건에서는 PLA 매트릭스 내에 PBS가 미세하게 분산되며, 계면이 연속적으로 연결된 형태를 나타냈다. 이러한 구조는 인장강도 향상 및 탄성계수 증가에 기여한 요인으로 판단되며, 상용화제가 PLA와 PBS 간의 계면응집력과 점착성을 효과적으로 향상시켰음을 나타낸다. SEM 관찰 결과는 FTIR, DSC, DMA 분석 결과와도 유사한 경향을 보였다.
|
Figure 3 Tensile strength of PLA/PBS/Compatibilizer: (a) amount of additive (0.5, 1, 3, 5 phr); (b) amount of additive (0.25, 0.5, 0.75, 1 phr); (c) compatibilizer ratio; (d) effect of PBS content on tensile strength of PLA/PBS. |
|
Figure 4 Young’s Modulus of PLA/PBS/Compatibilizer: (a) amount of additive (0.5, 0.1, 3, 5 phr); (b) amount of additive (0.25, 0.5, 0.75, 1 phr); (c) compatibilizer ratio; (d) effect of PBS content on Young’s Modulus of PLA/PBS blends. |
|
Figure 5 XRD graphs by additive content: (a) PP-g-MA; (b) amount of EBA-GMA; (c) PP-g-MA/EBA-GMA. |
|
Figure 6 FTIR graphs by additive content: (a) PP-g-MA; (b) amount of EBA-GMA; (c) PP-g-MA/EBA-GMA. |
|
Figure 7 DSC graphs by additive content: (a) PP-g-MA; (b) amount of EBA-GMA; (c) PP-g-MA/EBA-GMA. |
|
Figure 8 Crystallinity of PLA/PBS/Compatibilizer for different compatibilizer. |
|
Figure 9 Shear viscosity at 190 ℃ by additive content: (a) PP-g-MA; (b) amount of EBA-GMA; (c) PP-g-MA/EBA-GMA. |
|
Figure 10 Loss tangent at 190 ℃ by additive content: (a) PP-g-MA; (b) amount of EBA-GMA; (c) PP-g-MA/EBA-GMA. |
|
Figure 11 Loss tangent at room temperature by additive content: (a) PP-g-MA; (b) amount of EBA-GMA; (c) PP-g-MA/EBA-GMA. |
|
Figure 12 SEM images of the cross-section of PLA/PBS/PP-g-MA films with varying compati-bilizer content: (a) 0.5 phr; (b) 0.75 phr; (c) 1 phr; (d) 3 phr; (e) 5 phr, taken at 2.0 k magnification. |
|
Figure 13 SEM images of the cross-section of PLA/PBS/EBAGMA films with varying compati-biizer content: (a) 0.5 phr; (b) 0.75 phr; (c) 1 phr; (d) 3 phr; (e) 5 phr, taken at 2.0 k magnification. |
|
Figure 14 SEM images of the cross-section of PLA/PBS films with a 50:50 mixture of PP-g-MA and EBA-GMA as compatibilizer: (a) 0.5 phr; (b) 0.75 phr; (c) 1 phr; (d) 3 phr; (e) 5 phr, taken at 2.0 k magnification. |
|
Figure 15 SEM image of the cross-section of (a) PLA/PBS (80/20) film; (b) PLA/PBS film with 0.75 phr of a 50:50 mixture of PP-gMA and EBA-GMA as compatibilizer. taken at 5.0k magnification. |
본 연구에서는 PP-g-MA와 EBA-GMA를 상용화제로 적용하여, 상용화제의 종류, 첨가량, 혼합 비율에 따른 PLA/PBS(80/20) 블렌드의 기계적, 열적, 유변학적 특성 변화를 체계적으로 분석하였다. 제조된 블렌드는 핫프레스 및 사출성형을 통해 시편화한 후, 인장 시험, DSC, FTIR, XRD, 레오미터, DMA 등의 분석 기법을 활용하여 물성 변화를 평가하였다. 주요 결과는 다음과 같다.
PP-g-MA와 EBA-GMA의 혼합 첨가는 PLA/PBS 블렌드의 인장강도를 효과적으로 향상시켰으며, 특히 0.75 phr, 50:50 혼합 조건에서 가장 우수한 기계적 성능이 나타났다.
유변학적 분석 결과, PP-g-MA 첨가 시에는 낮은 분자량과 유연한 사슬 구조로 인해 점도가 소폭 감소하였고, EBA-GMA 첨가 시에는 사슬 간 얽힘 증가로 인해 점도가 상승하였다. 그러나 두 경우 모두 가공성에 영향을 줄 수준은 아니었다.
DMA 분석 결과, 0.75 phr의 혼합 상용화제 조건에서 손실탄젠트(tan δ)가 가장 낮게 나타났으며, 이는 계면 접착력 향상 및 응력 전달 개선에 따른 점탄성 특성의 향상으로 해석된다.
FTIR, DSC, XRD 분석을 종합한 결과, PP-g-MA와 EBA-GMA의 혼합 첨가는 결정 구조 안정성을 유지하면서도 기계적 성능과 열적 특성을 동시에 개선하는 데 유의미한 효과를 나타냈다.
이러한 결과는 PLA/PBS 블렌드의 계면 상용성을 제어하기 위한 상용화제 조성 설계에 있어 PP-g-MA/EBA-GMA 혼합 첨가 전략이 효과적인 접근법이 될 수 있음을 시사하며, 생분해성 복합재료의 공정성과 내구성을 동시에 향상시키는 데 기여할 수 있을 것으로 기대된다.
This Article2025; 49(6): 783-792
Published online Nov 25, 2025
Services
Correspondence to*Department of Chemical Engineering, Graduate School, Yeungnam University, Gyeongsan 38541, Korea
**Department of Chemical Engineering, Yeungnam University, Gyeongsan 38541, Korea