
Taehyoung Kim, Sung-Ho Jin*, Jongwook Park**, and Yeong-Soon Gal***,† 
Advanced Functional Polymers Research Center, Korea Research Institute of Chemical Technology, Daejeon 34114, Korea
*Department of Chemistry Education, Pusan National University, Busan 46279, Korea
**Department of Chemical Engineering, Kyunghee University, Suwon 17104, Korea
***Department of Fire Safety, Kyungil University, Gyeongsan 38428, Korea
한국화학연구원 고기능고분자연구센터, *부산대학교 화학교육과, **경희대학교 화학공학과, ***경일대학교 소방방재학과
Reproduction, stored in a retrieval system, or transmitted in any form of any part of this publication is permitted only by written permission from the Polymer Society of Korea.
An ionic polyacetylene derivative was synthesized via in-situ quaternization polymerization of 2-ethynylpyridine using 1-(bromoacetyl)pyrene. The monomeric N-(2-oxo-2-(pyrene)ethyl)-2-ethynylpyridinium bromide firstly formed from the reaction of 2-ethynylpyridine and 1-(bromoacetyl)pyrene was spontaneously polymerized without any additional catalyst systems to give the ionic polyacetylene in high yield (85%). The analysis results on the polymer structure using instrumental methods such as NMR, IR, and UV-visible spectroscopies showed that the polymer had the conjugated backbone system with the designed pyrene moieties. This polymer dissolves well in organic solvents such as DMSO, DMF, DMAc, etc. The UV-visible spectrum of polymers showed characteristic absorption peaks in visible light regions above 400 nm that were not observed in the spectrum of 2-ethylpyridine and 1-(bromoacetyl) pyrene, indicating the formation of conjugated structural polymers. The cyclic voltammogram of the polymer showed an oxidation peak at 1.0V and a reduction peak at -1.3 V, demonstrating stable electrochemical behavior during continuous scanning up to 50 cycles. Additionally, it was observed that the current of oxidation and reduction processes increased stably even when the scan rate was increased up to 150 mV/s.
1-(브로모아세틸)피렌을 이용한 2-에티닐피리딘의 4차염화 in-situ 중합반응으로 새로운 이온성 폴리아세틸렌 유도체를 합성하였다. 2-에티닐피리딘과 1-(브로모아세틸)피렌의 첫 번째 반응에서 생성된 N-(2-옥소-2-(피렌)에틸)-2-에티닐피리디늄 브로마이드)가 별도의 개시제나 촉매의 도움없이 중합반응이 잘 진행되어 85%의 수율로 원하는 치환기를 갖는 이온성 폴리아세틸렌 유도체가 합성되었다. NMR, IR, UV-visible 등과 같은 분석장비를 사용하여 합성한 고분자의 분자구조를 분석한 결과, 피렌 부분을 포함한 피리디늄 측쇄를 갖는 공액구조 고분자가 합성되었음을 확인할 수 있었다. 이 고분자는 DMSO, DMF, DMAc 등과 같은 유기 용매에 잘 용해하였다. 합성 고분자의 UV-visible 스펙트럼에서는 2-에티닐피리딘 및 1-(브로모아세틸)피렌의 스펙트럼에서는 관찰되지 않았던 400 nm 이상의 가시광선 영역에서 특징적인 흡수 피크를 보여주었는데, 이는 공액구조 고분자가 형성되었음을 의미한다. 중합체의 사이클릭 볼타모그램은 1.0 V에서의 산화 피크와 –1.3 V에서의 환원 피크를 보여주며, 50회까지의 연속 스캔 작동시 안정한 전기화학적 거동을 나타내었다. 또한, 스캔 속도가 150 mV/sec 까지 증가하여도 산화 및 환원의 전류량이 안정적으로 증가하는 결과를 관찰할 수 있었다.
A new ionic polyacetylene derivative was synthesized via In-situ quaternization polymerization of 2-ethynylpyridine using 1-(bromoacetyl)pyrene without any additional catalyst systems in high yield.

Keywords: polyacetylene, conjugated polymer, 2-ethynylpyridine, 1-(bromoacetyl)pyrene, quaternization polymerization.
본 연구는 과학기술정보통신부 재원으로 한국연구재단 기초연구사업의 지원(RS-2023-00243822)에 의해 수행되었습니다. 또한 본 연구는 경일대학교 교내학술연구비지원에 의해 수행되었습니다.
저자들은 이해상충이 없음을 선언합니다.
고분자 주쇄가 공액구조로 이루어진 공액구조 고분자는 그 구조에서 기인한 독특한 특성을 바탕으로 IT산업, 에너지산업을 포함한 다양한 산업 분야에서 그 응용 영역이 확대되어 왔다. π-공액구조 고분자는 IT산업의 핵심 소재 중 하나로서 유기발광소자(OLED), 배터리, 화학 및 바이오 센서, 전기변색 특성을 이용한 표시장치나 스마트 윈도우, 비휘발성 메모리 소자, 분리기능막, field-effect transistor(FET), 유기 및 페로브스카이트 태양전지, 전자회로의 전자파 차폐 및 부식방지제 등의 분야에서 다양하게 응용되어 왔다.1-9
여러 가지 이온성 고분자 중 이온성 부분을 측쇄로 갖는 공액구조 고분자는 이 소재가 갖는 이온성과 공액성을 기반으로 한 이온 및 전기 전도성을 보이는 소재, 기능성 재료의 표면개질제, 투과선택성 분리막, 에너지 저장용 장치 등의 소재로 유망한 것으로 알려져 왔다.10 그동안 보고된 이온성 공액구조 고분자는 촉매를 사용한 이온성 아세틸렌 유도체들의 선형중합으로 합성하는 경우가 대부분이었다.11,12
방향족 화합물 중 질소 원자가 비결합전자쌍을 가지고 있음으로서 4차염화 반응이 가능한 피리딘 혹은 피리디늄 염을 포함하는 폴리아세틸렌 고분자에 관한 연구로는 2-에티닐피리딘의 열중합에 관한 연구가 1964년에 처음으로 발표되었으며,13 Simionescu 등이 폴리(2-비닐- 및 에티닐피리딘)의 7,7,8,8-tetracyanoquinodimethane(TCNQ) 음이온 라디칼 염의 합성에 관하여 1978년에 발표한 바 있다.14 이 연구의 요지는 아이오도알칸류를 이용하여 먼저 폴리(에티닐피리딘)을 합성하고 추가로 이 고분자의 TCNQ 착체를 합성하였으며 그 특성을 조사하였다. 본 연구진은 Ti, W, Mo 클로라이드와 유기알루미늄 화합물을 조합한 촉매시스템을 사용하여 2-에티닐피리딘의 중합을 시도한 결과 비교적 큰 분자량의 고분자를 높은 수율로 합성할 수 있었다.15
특히 1990년대 초반에 알킬할라이드, 할로겐 등을 이용한 에티닐 피리딘류의 중합반응을 통하여 고분자량의 피리딘을 포함하는 이온성 폴리아세틸렌 고분자를 합성할 수 있음을 Blumstein 등이 발표하였으며, 그후 일련의 합성관련 연구와 합성한 고분자의 특성과 응용에 관한 연구가 진행되었다.16-18 본 연구진에서도 지난 20여년간 기능성 폴리아세틸렌 유도체 제조의 일환으로 기능성 알킬할라이드나 개환가능한 고리구조 화합물을 이용한 에티닐피리딘의 중합을 통하여 다양한 구조와 기능성을 갖는 이온성 폴리아세틸렌 유도체를 합성하고 그 특성을 연구하였다.15,19-21 에티닐피리딘의 4차염화반응을 이용한 이 중합반응은 별도의 촉매나 개시제가 필요없다는 점이 큰 특징이자 장점이다. 이는 기존의 다른 중합법에 있어서 사용하게 되는 촉매류 등에 의한 합성 시료의 오염을 근본적으로 막을 수 있다는 점이다.
그동안 피리딘을 포함하는 측쇄 치환기를 갖는 이온성 폴리아세틸렌 고분자의 응용에 관한 일련의 연구가 다수의 연구 그룹에서 수행되어 왔는데, 그 몇가지 예는 다음과 같다. 나노복합재료의 층간 충진물,22 층별 증착 기술(layer-by-layer deposition techniques)를 이용한 초박막 필름,18 전도성고분자-Ag 나노복합재료,23 비휘발성 메모리 소자,24 형광 증강 소재,25 화학센서 소재,26 유기태양전지의 계면 소재27,28 등이 그 예이다.
공액구조 분자 시스템에서 높은 공액도는 첨단 전자소자용 재료의 중요한 특성으로 인식되어 왔으며, 높은 공액도를 갖는 다환방향족 탄화수소(polycyclic aromatic hydrocarbons) 중에서 피렌은 독특한 광물리학적 특성으로 인해 광범위하게 연구되고 있는 중요한 형광색소분자 중 하나이다. 피렌 기능기를 갖는 물질은 그동안 OLED, 유기박막 트랜지스터(OTFT), 화학센서, 기계발광체(mechanoluminescence luminogens), 벌크 이종 접합 태양전지(bulk heterojunction solar cells), 에너지 저장장치(energy-storage devices) 등의 분야에 응용되어 왔다.29-32
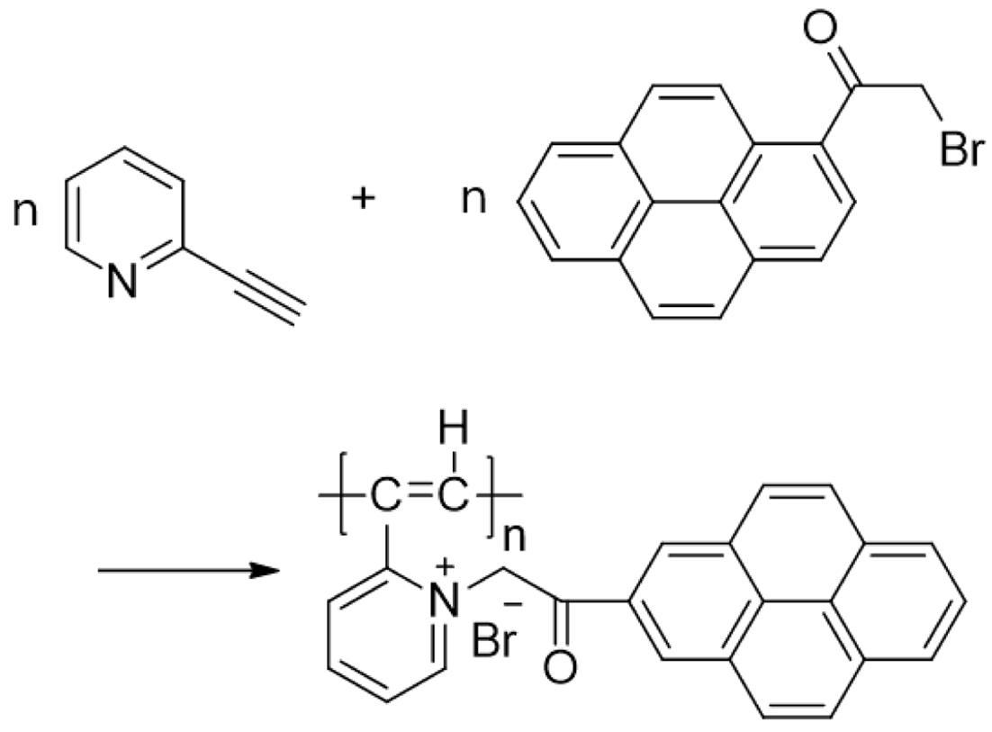
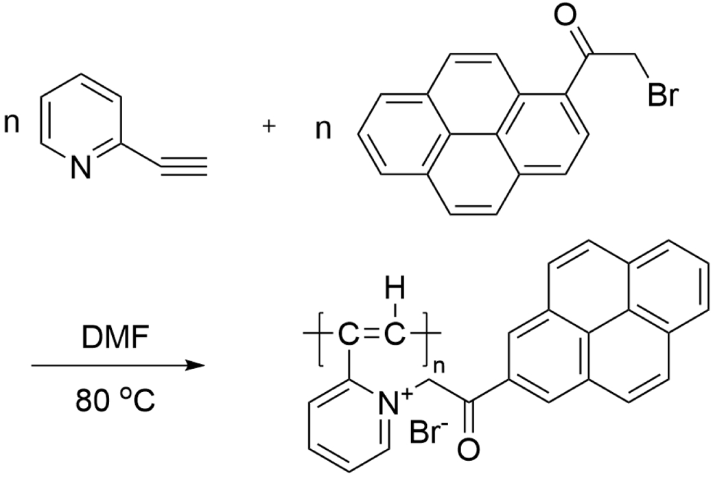
본 연구에서는 새로운 기능기를 포함하는 이온성 공액구조 고분자합성의 일환으로 1-(브로모아세틸)피렌을 이용한 2-에티닐피리딘의 4차염화 중합을 통하여 피렌 부분을 포함하는 폴리아세틸렌 유도체인 폴리(2-에티닐-(N-페네닐아세틸)피리디늄 브로마이드[poly(EPAPB)]를 합성하고(Scheme 1) 그 분자 구조를 분석하였으며 특성을 조사하였다.

Scheme 1. Synthesis of an ionic polyacetylene with pyrene moieties.
시약 및 재료. 2-에티닐피리딘(98%)은 Sigma-Aldrich사로부터 구입하였으며 전보와 같이 CaH2를 이용한 환류 건조후 진공증류하여 사용하였다.15,19 반응 물질인 1-(브로모아세틸)피렌(Sigma-Aldrich, 97%)과 중합용매인 N,N-dimethylformamide (DMF, Sigma-Aldrich, 99.8%)는 구입한 그대로 사용하였다. 그리고 각종 용매는 1급 시약을 그대로 사용하였다.
고분자 합성. 피렌 부분을 갖는 이온성 고분자는 반응성 알킬 할라이드인 1-(브로모아세틸)피렌을 이용한 2-에티닐피리딘의 무촉매 4차염화중합으로 합성하였다.17,19 먼저 80 ℃로 설정한 유조에 장착한 100 mL 플라스크를 질소분위기로 바꾼 후 1-(브로모아세틸)피렌(5.0 g, 15.5 mmol)을 DMF 24.3 mL에 녹인 용액에(단량체 염 기준[M]0=0.5 M), 2-에티닐피리딘(1.60 g, 15.5 mmol)을 주입하여 반응을 시작하였다. 중합반응이 완만하게 진행되었으며 반응시간이 경과 함에 따라 점도가 증가하였고 초기의 연한 갈색 반응용액이 점차 검은색 용액으로 바뀌었다. 24시간 중합반응 완료 후 약 20 mL의 DMF를 추가하여 반응용액을 묽힌 후 과량의 에틸 에테르에 침전시켰다. 합성된 고분자가 정상적으로 잘 침전됨을 확인할 수 있었다. 침전 완료 후 침전물은 검은색이었으며 상층액은 연한 갈색이었다. 상층액의 대부분을 버린 후 glass sintered filter를 사용하여 필터한 후 40 ℃ 진공 오븐에서 12시간 건조하였다. 5.60 g의 해당 고분자를 얻을 수 있었다(수율: 85%).
분석기기 및 방법. 합성한 피렌 부분을 갖는 피리디늄 치환기의 폴리아세틸렌 유도체의 푸리에 변환 적외선 분광(FTIR) 스펙트럼은 Bruker EQUINOX 55 spectrometer를 이용하였으며 건조한 고분자 시료를 KBr 분말과 섞고 잘 분쇄한 후 Carver 유압프레스를 사용하여 펠릿을 만든 후 4000-400 cm-1의 파장범위에서 측정하였다. 고분자의 nuclear magnetic resonance (NMR) 스펙트럼은 내부표준 물질로 테트라메틸실란(TMS)을 포함한 dimethyl sulfoxide(DMSO)-d6에 시료를 녹여 Bruker사 500 MHz NMR Spectrometer(AVANCE III 500)를 이용하여 측정하였으며 ppm단위로 화학적 이동을 기록하였다. 고분자의 열적 특성은 TA Instruments사의 thermal analyzer system(Q600)을 이용하였으며 질소분위기하에서 분당 10 ℃의 승온속도로 측정하였다. 고분자의 자외선 및 가시광선 파장에 대한 흡수(UV-visible) 스펙트럼은 HP 8453 UV-visible spectrophotometer를 사용하여 0.05 vol.%의 시료 농도에서 측정하였다. 고분자의 전기화학적 산화 및 환원에 대한 특성 확인을 위하여 순환전압전류법(cyclic voltammetry, CV)는 Potentionstat/Galvanostat Model 273A(Princeton Applied Research)를 이용하여 50회까지 연속 스캔하여 측정하였고, 초당 30-150 mV의 다양한 스캔 속도로도 측정하였다. CV 실험 조건으로는 작업전극(working electrode)로 indium rin oxide(ITO)를 사용했으며, Ag/AgNO3의 기준전극(reference electrode)과 백금선을 상대전극(counter electrode)로 사용하였다. 전해질로는 DMF 용액기반으로 0.1 M tetrabutylammonium tetrafluoroborate(TBA-TFB)를 사용하였고 고분자 시료는 0.1 wt% DMF 용액이었다. 인가 전압은 DMF 용매가 안정적인 –1.5 V에서 1.5 V의 범위에서 특성을 측정하였다.
피리딘 화합물과 4차 염화반응이 가능한 반응성 알킬 할라이드인 1-(브로모아세틸)피렌을 이용한 2-에티닐피리딘의 in-situ 중합을 통하여 측쇄에 피레닐피리듐 기능기를 갖는 이온성 폴리아세틸렌을 별도의 촉매나 개시제의 도움없이 높은 수율로 합성하였다. 80 ℃에서의 중합반응은 완만한 균일상으로 진행되었으며, 중합 시간이 경과함에 따라 점도가 증가하였으며 점차 검은 용액상으로 변하였다. 친수성 이온성 폴리아세틸렌인 경우, 그 물리화학적 특성으로 침전과정에서 유리용기 벽에 달라붙거나 필터 과정이 용이치 않은 경우도 있었는데,33,34 이 고분자의 경우는 프로파길 기를 치환기로 갖는 폴리(2-에티닐-N-프로파질 피리디늄 브로마이드)의 경우와 같이 침전과 필터가 용이하였으며 다루는 과정에서 수분을 흡수하여 용해하는 조해성은 보이지 않았다. 이는 상대적으로 큰 치환기인 피렌을 포함하고 있기 때문으로 분석되었다.
에티닐피리딘 자체의 경우는 열중합으로는 수율이 낮고 올리고머 형태가 주로 얻어지며, 촉매류를 사용한 경우 비교적 높은 분자량의 고분자가 얻어지는 것으로 알려져 있다.13,15 반면에 브롬, 알킬 할라이드, 염화철 등과 에티닐피리딘의 4차염화반응으로 형성된 에티닐피리디늄염 형태의 단량체에 존재하는 에티닐 기능기는 활성화되며 피리딘, 3차 아민, 할로겐화물 음이온 등과 같은 친핵체가 아세틸렌의 끝 부분 탄소를 공격함으로서 탄소 음이온이 생성되어 음이온 중합반응이 개시되는 것으로 알려져 있다.16,17
이런 관점에서 본 중합반응의 메커니즘은 다음과 같이 설명될 수 있다. 첫 번째 반응인 1-(브로모아세틸)피렌에 의한 2-에티닐피리딘의 4차염화반응에서 단량체 종인 N-(2-옥소-2-(피렌)에틸)-2-에티닐피리디늄 브로마이드가 형성된다. 반응중간체로 형성된 N-치환-2-에티닐피리디늄 단량체 종의 삼중결합인 에티닐기가 활성화되는 것은 앞에서 설명한 바와 같다.17,19 남아 있는 에티닐피리딘의 질소 원자에 있는 비결합전자쌍 혹은 이탈한 브로마이드 음이온이 활성화된 에티닐기의 끝 부분 탄소에의 친핵성 치환 공격에 의해 중합반응이 개시되고, 생성된 탄소 음이온이 다른 단량체 종의 활성화된 에티닐기의 바깥 탄소 원자 부분을 계속 공격하는 전파단계를 거쳐 이온성 공액구조 고분자가 형성되는 것으로 설명될 수 있다.
큰 치환기인 피렌 부분을 포함하는 피리디늄 치환기를 갖는 폴리아세틸렌 유도체의 분자구조와 특성은 FTIR, 1H- and 13C-NMR, UV-visible spectroscopy, thermal analysis(TA), UV/photoluminescence(PL), CV 등의 분광분석장비를 사용하여 측정하고 분석하였다.
Figure 1은 합성한 고분자의 FTIR 스펙트럼을 나타낸 것이다. 고분자의 FTIR 스펙트럼에서는 출발물질인 2-에티닐피리딘의 삼중결합 기능기의 특성 피크인 2110 cm-1 및 3293 cm-1에서의 피크가 관찰되지 않았다. 3420 cm-1 인근에서의 피크는 이 고분자의 이온성 등의 특성에 기인하여 시료를 다루는 과정에서 흡수된 소량의 수분 등에 의한 것이며, 2960 cm-1 및 3050 cm-1 에서의 피크는 지방족 및 방향족 C-H 신축진동에 해당하는 것이다. 1560-1701 cm-1 범위에서의 피크는 카르보닐 C=O, 방향족성 치환기 및 공액구조 고분자 주쇄의 C=C 신축진동에 해당하는 것이며, 850 cm-1 및 1223 cm-1 에서의 피크는 각각 피리딘 고리의 out-of plane C-H deformation과 in-plane C-H deformation에 해당하는 것이다.35
DMSO-d6에 녹여 측정한 피렌 부분을 포함하는 피리디늄 치환기를 갖는 공액구조 고분자의 1H NMR 스펙트럼에서는 피레닐피리디늄 치환기의 방향족성 수소 피크와 고분자 주쇄의 공액이중결합 수소 피크가 5.0 에서 9.9 ppm 영역에서 넓게 분포하였다. 합성 고분자의 13C-NMR 스펙트럼에서는 고분자 주쇄의 공액구조 비닐기의 탄소 피크와 피렌 및 피리딜 기의 방향족성 탄소 피크들이 112-150 ppm 영역에서 관찰되었으며 측쇄의 메틸렌 탄소 피크가 73 ppm에서 관찰되었다. 이 고분자는 큰 비극성 부분을 갖는 이온성 공액구조 고분자인 관계로 DMF, DMSO, N,N-dimethylacetamide(DMAc) 등의 용매에는 완전히 용해하였으나 물을 포함한 아세톤, 벤젠, 아세토니트릴 등에는 거의 용해하지 않았다.
Figure 2는 0.05 vol% DMF 용액에서 측정한 고분자의 UV-visible light 흡광스펙 트럼을 나타낸 것이다. 합성 고분자의 UV-visible 스펙트럼에서는 단량체 염의 전구체인 2-에티닐피리딘 및 1-(브로모아세틸)피렌의 스펙트럼에서는 관찰되지 않았던 400 nm 이상의 가시광선 영역에서 특징적인 흡수 피크를 보여주었는데, 이는 공액구조 고분자가 형성되었음을 의미한다. 합성 고분자의 TGA thermogram에서는 다른 유사 이온성 공액구조 고분자와 마찬가지로 100 ℃ 이하의 온도에서도 약간의 무게 감소가 관찰되었는데 이는 합성한 고분자를 다루는 과정 중에 흡수한 소량의 수분이나 유기물 등에 기인한 것으로 보인다. 상대적으로 작은 치환기를 갖거나 양쪽성 이온(Zwitterion)을 갖는 이온성 공액구조 고분자에 비해서는 무게 감소 폭이 상대적으로 적은 것으로 나타났다.33,34 이 고분자는 250 ℃ 부근에서 급격한 무게감소를 보이는데 이는 피레닐 피리디늄 치환기를 포함한 고분자 본격적인 분해에 의한 것이다. 이 고분자는 측정온도가 올라감에 따라 100 ℃에서는 원 고분자 무게의 96.1%를 유지하였으며, 200 ℃에서는 93.5%, 300 ℃에서는 77.2%, 400 ℃에서는 53.9%, 500 ℃에서는 45.2%, 600 ℃에서는 44.3%, 그리고 700 ℃에서 42.7%의 잔사량을 보였다.
Figure 3은 합성 고분자 분말 시료의 X-ray diffractogram을 나타낸 것이다. 회절 패턴의 피크는 다른 이온성 폴리아세틸렌 유도체와 마찬가지로 넓게 나타났으며, 회절각에 대한 반높이 폭(Δ2θ/2θ)의 비율은 0.35보다 크게 나타났는데, 이는 합성한 이온성 공액구조 고분자가 비정질(amorphous)형 임을 의미한다.
Figure 4는 합성 고분자 분말 시료의 에너지 분산형 X선 분광광도계(SEM-EDX) 스펙트럼을 나타낸 것이다. SEM 상으로는 입자의 크기 분포가 넓으며 구형이 아니라 표면적이 큰 퍼석한 상태로 관찰되었는데, 이 고분자는 다른 일부 이온성 공액구조 고분자에 비해 훨씬 더 큰 겉보기 부피를 보이는 것과 무관치 않은 것으로 보인다. 아울러 브로마이드 음이온이 단독 형태로 존재함을 확인할 수 있었다.
CV를 이용하여 합성 이온성 공액구조 고분자의 산화 및 환원에 대한 전기화학적 특성을 조사하였다. Figure 5(a)는 –1.5 V에서 1.5 V까지의 안정적인 전압의 범위에서 고분자 시료의 산화 및 환원이 일어나는 전기화학적 스캔 안정성을 실험한 결과이다. 반복 순환 전압 인가 횟수를 1회부터 50회까지 증가시키면서 측정한 산화 환원 전류값을 보여준다. 1.0 V 영역에서 산화 피크 전류값을 확인할 수 있었으며 –1.3 V 영역에서 환원 전류값을 확인할 수 있다. 또한, 50회까지 산화 및 환원의 전류 발생 현상이 감소없이 유지되며 안정적으로 발생하는 것을 확인할 수 있다. 이는 합성된 고분자의 electron 양이온 상태와 환원 상태가 매우 안정함으로서 반복적인 전기화학적 조건에서 electrochemical stability를 보이며, 전기화학적 재료로의 적용 가능성을 보여준다.
Figure 5(b)는 CV실험에서 scan rate를 30 mV/sec에서 150 mV/sec로 증가하며 시료의 전기적 산화환원 전류값의 변화를 측정한 결과이다. 산화 및 환원의 피크전위가 스캔속도가 증가함에 따라 좀더 높은 전위 쪽으로 작게 이동하는 결과를 확인할 수 있다. 또한, scan rate의 증가에 따라 산화 및 환원의 전류값이 증가하는 것을 알 수 있었다. 이는 고정된 시료의 전하량에 대하여 빠른 속도의 전위 증가는 인가되는 시간의 감소로 인하여 전류값이 증가되는 일반적으로 안정적인 CV실험 결과와 잘 일치한다.
|
Figure 1 FTIR spectrum of poly(2-ethynylpyridinium bromide) having the pyrene moieties. |
|
Figure 2 UV-visible spectrum of poly(2-ethynylpyridinium bromide) having the pyrene moieties. |
|
Figure 3 X-ray diffractogram of poly(2-ethynylpyridinium bromide) having the pyrene moieties. |
|
Figure 4 EDX analysis of poly(2-ethynylpyridinium bromide) having pyrene moieties. |
|
Figure 5 Cyclic voltammograms of poly(2-ethynylpyridinium bromide) having pyrene moiety in 0.1 wt% TBA-TFB/DMF solution: (a) consecutive scans up to 50 cycles; (b) various scan rates in the ranges of 30 mV/sec to 150 mV/sec. |
1-(브로모아세틸)피렌을 이용한 2-에티닐피리딘의 4차 염화반응으로 생성된 활성화 단량체 종의 in-situ 중합으로 피렌 부분을 포함한 피리디늄 치환기를 갖는 이온성 폴리아세틸렌 유도체를 높은 수율로 합성하였다. 이 고분자는 이온성 부분을 갖고 있지만 큰 치환기의 영향으로 조해성이 거의 없는 검은색의 분말상 형태로 얻어졌다. NMR, IR, UV-visible 등의 분석장비를 이용하여 합성 고분자의 분자구조를 분석하였으며, 그 결과 설계한 치환기를 갖는 이온성 공액구조 고분자가 합성되었음을 확인할 수 있었다. 이 고분자는 DMF, DMSO, DMAc 등의 극성 용매에는 완전히 용해하였으나 물을 포함한 아세톤, 벤젠, 아세토니트릴 등에는 거의 용해하지 않았다. X-선 회절분석 결과 이 고분자는 무정형상임을 확인할 수 있었으며 SEM-EDX 분석을 통해 브로마이드 대응 음이온이 단독 형태로 존재함을 확인할 수 있었다. CV 실험결과에서 –1.5 V에서 1.5 V 구간에 대하여 50 cycle까지 매우 안정한 산화환원전류값 거동을 보였으며, 150 mV/sec까지의 scan rate 증가에서도 매우 안정한 산화 환원 전류 증가 및 거동을 확인할 수 있었고 이는 시료의 전기화학적 cell의 조건에 적용될 수 있는 가능성을 보여주는 것이다.
This Article2026; 50(1): 69-75
Published online Jan 25, 2026
Services
Correspondence toDepartment of Fire Safety, Kyungil University, Gyeongsan 38428, Korea