
Major in Polymer Science and Engineering, Kongju National University, 1223-34 Cheonan way, Cheonan 31080, Korea
*NCT, No. 1023, Cheonan G1 Biz Campus, Cheonan 31074, Korea
공주대학교 신소재공학부 고분자공학전공, *엔씨티
Reproduction, stored in a retrieval system, or transmitted in any form of any part of this publication is permitted only by written permission from the Polymer Society of Korea.
The dispersion of graphene nanoplates (GNPs) in polypropylene (PP)/GNP composites and the compatibility of PP and GNP were investigated. (3-aminopropyl)triethoxysilane (APTES) was used for GNP modification, and FTIR spectroscopy was used to confirm the modification of GNPs. To improve the compatibility of PP and GNPs, maleic anhydride (MAH) grafted PP (PP-g-MAH) fabricated by reactive extrusion was used. In the composite where GNP modification and PP-g-MAH were simultaneously applied, the crystallization temperature increased, unlike other composites. This is interpreted as being due to the improved compatibility of GNPs. The contact angle change was examined to confirm the improvement in compatibility.
그래핀나노플레이트(graphene nanoplate, GNP) 개질 및 상용화제가 적용된 폴리프로필렌(polypropylene, PP)/GNP 복합체의 GNP 분산성 그리고 PP와 GNP의 상용성을 고찰하였다. GNP 개질에는 (3-aminopropyl)triethoxysilane (APTES)를 이용하였으며, GNP의 개질 여부 확인을 위해 적외선 분광기(FTIR)을 이용하였다. PP와 GNP의 상용성 개선을 위해 무수말레인산(maleic anhydride, MAH)이 그라프트된 PP(PP-g-MAH)를 반응압출하여 사용하였다. GNP 개질과 PP-g-MAH가 동시에 적용된 복합체의 경우 다른 복합체들과 다르게 결정화온도가 증가하였으며, 이는 GNP의 상용성 개선에 의한 것으로 해석되며, 상용성 개선을 확인하기 위해 접촉각 변화를 고찰하였다.
To improve the compatibility of polypropylene (PP) and graphene nanoplates (GNPs), maleic anhydride (MAH) grafted PP (PP-g-MAH) fabricated by reactive extrusion was used. In the composite where GNP modification and PP-g-MAH were simultaneously applied, the crystallization temperature increased, unlike other composites. This is interpreted as being due to the improved compatibility of GNPs. The contact angle change was examined to confirm the improvement in compatibility.

Keywords: polypropylene, graphene nanoplate, silane modification, compatibility, dispersion.
이 논문은 환경부의 폐자원에너지화 전문인력 양성사업으로 수행된 것입니다.
폴리프로필렌(polypropylene, PP)는 고분자 소재 가운데 가장 가벼운 합성고분자로 내화학성, 성형가공성, 낮은 수분흡수율 등으로 경량화가 요구되는 분야를 중심으로 산업적으로 널리 사용되는 범용플라스틱이다. 특히 소재 경량화를 위해 기존의 금속소재를 대체하려는 연구가 산업 전반에서 진행 중이며, 이 때 전기적 특성에 대한 개선이 필수적이다. 또한, PP의 경우 엔지니어링 플라스틱과 비교할 때 탄성률 등 기계적물성이 낮아 이에 대한 고찰도 같이 진행되어야 하며, PP의 기계적 물성과 전기적 특성 향상을 위한 연구가 활발히 진행되고 있다.1-7 고분자의 전기적 또는 기계적 물성 향상을 위해 사용하는 방법 중 하나가 탄소필러와의 복합화이다.
고분자와의 복합화에 많이 사용되는 탄소필러로는 탄소나노튜브(carbon nanotube, CNT), 카본블랙(carbon black, CB), 그래핀, 그래핀나노플레이트(graphene nanoplate, GNP) 등이 있으며, 이들 중 GNP의 경우 기계적 방법으로 수십층의 그래핀을 제조한 것으로 경제적인 측면에서 유리하기 때문에 최근 고분자/GNP 복합체에 대한 응용 연구가 진행되고 있다. PP/GNP 복합체의 응용분야는 경량화 및 전기적 특성(정전기 방지, EMI 차폐 등)이 요구되는 배터리 케이스, 엔진커버 등 자동차 분야, 정전기 방지 부품, 커넥터 하우징, 방열 부품 및 하우징 재료 등 전자 및 전기 분야, 정전기 방지 포장(ESD 패키징), 고강도 산업용 포장재 등 포장재 분야 및 내마모, 방열, 차폐 기능이 요구되는 구조물 등 건축자재 분야 등 산업체 전반에 응용이 확대되는 추세이다.8-10
탄소필러 중 CNT, CB 등은 가격이 높아 적용에 제한을 받고 있는 반면, 상대적으로 가격이 저렴한 GNP를 고분자에 탄소필러로 적용하려는 연구가 활발히 수행되고 있다.11-13 PP/GNP 복합체에서 해결해야할 문제 중에 하나가 PP와 GNP 사이의 계면접착 특성 또는 혼화성을 증가시키는 것이다. GNP와 탄화수소 계열의 소수성 유기재료인 PP는 복합화 시 혼화성의 문제로 물성 저하를 가져오는 것이 일반적인 현상이다. PP와 극성 고분자 또는 무기 필러 사이의 혼화성 개선을 목적으로 PP에 무수 말레인산(maleic anhydride, MAH)이 도입된 PP-g-MAH를 이용하여 왔다.14-16 또한, GNP와 같은 무기필러에는 여러가지 방법으로 고분자와의 혼화성 개선 방법이 이용되고 있으며, 이들 중에서도 상업적으로 많이 이용되고 있는 실란커플링제(silane coupling agent, 일반식: R−Si−(OR')3)는 작용기 중 세 개는 알콕시(alkoxy group)로 존재하여 가수분해 후 수산기(-OH)가 만들어지며, 또 다른 말단(R)에는 다양한 종류의 작용기로 구성되어 매트릭스 고분자의 특성에 맞도록 조정이 가능하여 GNP와 PP 매트릭스의 혼화성 개선을 유도할 수 있다. 혼화성과 더불어 미립화 된 GNP는 응집력이 강해 PP 매트릭스 내의 분산에 어려움이 있으며, GNP의 분산성 개선은 고분자/GNP 복합소재 분야에서 주요 주제로 연구되고 있으며, GNP에 기능화기를 부여하는 화학적 개질 방법이 최근 연구 주제 중 하나이다. GNP에 실란 커플링제, 멜라민 또는 계면활성제 등이 GNP 개질에 효과적인 것으로 알려져 있으며, 특히 아민계 실란 커플링제를 이용하여 탄소필러를 기능화하면 폴리아미드와 같은 극성 고분자 매트릭스와 필러 사이의 상호작용을 강화하여 분산성을 개선하는 연구결과가 보고되었다.17,18
그러나, PP와 같은 비극성 고분자의 경우 GNP를 개질하여도 PP와의 혼화성 또는 계면 접착 특성의 개선이 미미한 것으로 본 실험실의 연구에서 확인되었다. 또한 상용성 개선을 위해 PP-g-MAH를 혼합한 경우 인장 탄성률이 큰 폭으로 감소하는 결과를 나타내었다. 이와 같은 문제를 해결하기 위해 본 연구에서는 GNP를 아민 말단 실란커플링제를 이용하여 개질 GNP를 제조하고, PP와 복합화할 때 PP-g-MAH를 추가하여 개질 GNP와 PP 사이의 혼화성 개선 여부를 결정화온도 증가, 접촉각 변화 등을 통해 고찰하고자 하였다. GNP의 분산성은 본 연구실의 기존 연구결과에서 상대결정화도 도달 시간 변화를 통해 확인하였으며, 본 연구에서도 동일한 방법을 사용하였다.19
재료. 본 연구에 사용된 PP는 한화토탈에너지(Korea)의 용융지수(MI, 230 ℃, 2.16 kg) 10 g/min, 밀도 0.91 g/cm3, 융점 160 ℃의 블록 PP인 BJ500을 사용하였다. PP-g-MAH 제조 시 PP는 BJ500, MAH는 Junsei-chemical 사(Japan)의 제품을, 개시제는 Sigma-Aldrich사(USA)의 Dicumyl peroxide(DCP)를 사용하였다. 그래핀나노플레이트(graphene nano plate, GNP)는 TIMESNANO사(China)의 밀도 0.6 g/cm3, 지름 2-16 nm, 순도 >90%인 TNIGNP130622를 사용하였다. GNP 개질을 위해서 사용된 실란 커플링제는 Sigma-Aldrich(USA)의 (3-Aminopropyl)triethoxysilane(APTES, 99%)을 사용하였고, 용매인 에탄올, 자일렌 및 클로로포름은 삼전순약공업(Korea)을 사용하였다.
GNP 개질 및 PP-g-MAH 제조. GNP를 APTES와 1:1.5의 비율로 에탄올-물 혼합물(비율 3:2)에 첨가하고 1시간 초음파 처리 후 75 ℃의 온도로 12시간 동안 교반하여 실란화 과정을 거치고 80 ℃오븐에서 24시간 건조하였으며 A-GNP로 명명하였다. Figure 1은 개질 GNP의 반응 메커니즘을 나타낸 것이다. Figure 1의 오른쪽은 P-GNP, ATPES, A-GNP의 FTIR 스펙트럼을 나타낸 것으로, GNP의 기능화에 의해 GNP의 O-H 피크와 새로이 도입된 N-H 피크의 중첩으로 3300-3500 cm-1 범위의 피크가 넓어진 것을 확인할 수 있었다. 또한, 순수 GNP에서는 나타나지 않은 아민기의 N-H 및 C-N 결합에 의해 1560 cm-1 부근에서 피크가 관찰되어 AG 기능화가 이루어졌음을 확인할 수 있었으며, 이는 기존 연구결과와 동일한 결과이다.20 다음으로 PP-g-MAH 반응 압출은 160/180/200/200 /200/200 ℃, 50 rpm의 조건에서 진행하였으며, 본 실험실의 기존 반응압출 결과를21 이용하여 PP 50 g, DCP 0.6 phr, MAH 4 phr로 고정하고 PP-g-MAH를 제조하였으며, FTIR의 carbonyl index(CI)를 이용하여 측정한 그라프트율은 1.33이었다. GNP 개질 여부와 PP-g-MAH의 그라프율 측정을 위한 FTIR에는 미반응 단량체가 제거된 시편을 사용하였다. PP-g-MAH(또는 개질 GNP) 5 g을 180 ℃ 자일렌에 용해한 후 클로로포름에 부어 얻은 PP-g-MAH(또는 개질 GNP) 침전물을 아스피레이터를 이용해 여과시킨 후 건조하였고, 속슬렛 추출기를 이용하여 클로로포름에 12시간 동안 처리해서 미반응물을 제거하였다. 미반응물이 제거된 시료의 적외선분광 스펙트럼을 얻은 후 C=O와 C-H 신 축진동 피크의 비를 이용해 그라프트율을 측정하였다.
복합체 및 시편 제조. PP/GNP 복합체는 Table 1에 나타낸 함량으로 시료를 dry blending한 후 60 ℃ 오븐에서 12시간 이상 충분히 건조한 후 140/160/180/180/190/190 ℃, 50 rpm의 조건에서 이축압출기(바우테크 BA-11, L/D=40 cm/11 mm, Korea)를 이용하여 제조하였다. 폴리아미드6,6의 기존 연구 결과21에 따르면 CB와 CNT의 함량이 각각 2 wt%일 때 표면저항이 최적의 결과를 나타내었다. 따라서 본 연구에서는 CB와 CNT의 함량이 각각 2 wt%일 때 네트워크에 의한 상승효과로 최적의 전기적 특성을 나타내는 것으로 보고된, 본 연구에서도 CB의 함량을 2 wt%로 고정하고, CNT 대신 GNP를 사용하여 복합체를 제조하였다. 시료명에서 PPc는 상용화제로 PP-g-MAH를 혼합한 시료를 의미하며, PG는 순수(pristine) GNP을 의미하며, AG는 실란커플링제인 APTES를 이용하여 개질된 GNP를 의미한다.
분석 및 측정. 화학구조 분석을 위해 적외선분광기(Fourier transform infrared spectroscopy, FTIR, Perkin Elmer, Spectrum 1000)을 사용하였으며, 파수 범위 400-4000 cm-1에서 진행하였다. PP/GNP 복합체의 결정화 거동은 시차주사열량계(TA Instrument DSC Q20, differential scanning calorimetry, DSC, USA)를 이용하였으며, 승온/냉각속도 10 ℃/min으로 0-200 ℃의 온도범위로 1st 승온 및 냉각을 진행한 후 2nd 승온/냉각을 진행하였으며, 2nd 결과 값을 사용하였다. 인장특성은 만능시험기(universal testing machine, Qmesys, QM100T, Korea)를 이용하여 측정하였으며, 가열프레스를 이용해 제조한 1 mm 두께의 덤벨형 시편을 이용하여 10 mm/min의 속도로 측정하였다. 접촉각 측정은 25×25×1 mm 시편에 대해 SEO사의 phoenix 접촉각 측정기(USA)를 이용하여 물을 떨어뜨린 뒤 3초 후의 각을 측정하였다. 모든 시편은 가열프레스로 190 ℃, 10 MPa 조건에서 압축 성형하여 제조하였다. 결정구조 분석에는 XRD (Rigaku 사 MiniFlex 600, Japan)를 이용하여 CuKα(radiation with λ=0.15406 nm)으로 5o/min 조건으로 측정하였다.
|
Figure 1 Schematic diagram of GNP modification by APTES and FTIR spectrum. |
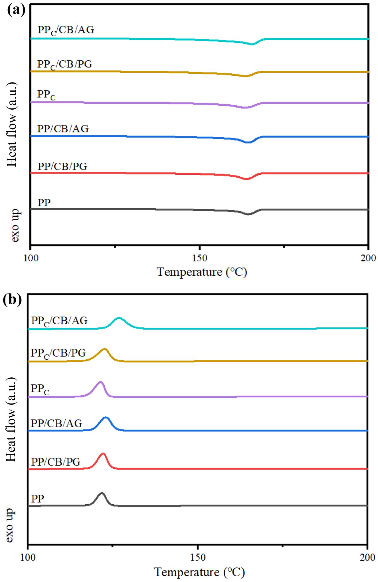
Figure 2는 Table 1에서 설명한 시료들의 용융거동과 결정화 거동을 나타낸 것이다. 용융거동과 결정화 거동에 큰 차이를 보이지 않는 것을 확인할 수 있다. 그러나, 상용화제로 PP-g-MAH가 첨가되는 복합체의 경우 용융 거동에는 큰 차이를 보이지 않는 반면 결정화 거동에는 차이를 보여주고 있다. PPc/CB/PG와 달리 개질 GNP가 적용된 PPc/CB/AG의 경우 용융거동은 유사하게 나타나지만 결정화온도가 다른 시료와 달리 증가하는 결과를 보여주고 있다. 이는 A-GNP의 아민 기능화기와 PP-g-MAH의 MAH와의 화학적 결합으로 혼화성 증가에 의한 결정화거동 변화, 결정 배향 변화 핵제 효과 등의 영향이 복합적으로 나타날 수 있다.
혼화성에 대한 추가적인 확인을 위해 수접촉각을 측정하여 Figure 3에 나타내었다. PP와 무기필러의 혼화성이 좋지 않으면 계면을 통한 물 흡수가 발생하여 접촉각이 감소하지만, 혼화성이 증가하게 되면 계면에서의 물 흡수를 억제하여 수접촉각이 증가하게 된다. PP-g-MAH가 적용된 경우 수접촉각이 증가하는 경향을 보여주고 있으며, 이는 앞에서 설명한 혼화성의 증대에 대한 간접적인 증거로 설명할 수 있다.
개질 GNP와 상용화제가 함께 적용된 PPc/CB/AG의 결정화온도 증가가 결정구조 변화에 의한 것인지 여부를 확인하기 위해 X-선회절분석 결과를 Figure 4에 나타내었다. 기존 연구결과에 따르면, PPα 결정의 특성 회절 피크는 14.28o(110), 17.14o(040), 18.92o(130) 및 21.4o(111)에서 나타나는 것으로 확인되며, PP와 비교할 때 PPc/CB/AG 복합체에서 새로운 피크 없이 4개의 회절피크만 나타나는 결과로부터 결정화온도 증가는 결정구조 변화와 무관한 것으로 판단된다. 결정화온도 증가는 GNP가 상용화제에 의해 PP 매트릭스에 화학적으로 결합되어 PP의 사슬 운동을 방해(물리적 배열 변화)하기 때문에 나타나는 현상으로 해석할 수 있다. Nujalee 등의22 선형 방향족 폴리에스터에 대한 연구에서 주 용융 피크는 라멜라 스택의 기본 결정체에 의한 것이며, 고온에서의 새로운 피크는 물리적 배열에 의한 것으로 보고하였다.
혼화성 증가와 더불어 PP/GNP 복합체에서 GNP의 분산성 또한 중요한 인자 중 하나이다. 기존의 연구 결과에서 탄소 필러의 분산성이 향상될수록 고분자 사슬의 운동이 제약을 받아 결정화가 지연되어 상대결정화도 도달시간이 증가하는 것으로 확인되었다. 본 연구에서도 상대결정화도 도달시간을 이용하여 GNP 개질 및 PP-g-MAH 적용 여부에 따른 상대결정화도 도달시간을 측정하여 Figure 5에 나타내었다. 상대결정화도는 결정화곡선의 시간 t까지의 면적을 전체면적으로 나눈 값이며, 시간은 온도를 냉각속도로 나눈 값이다.23,24 순수 GNP 대비 개질 GNP가 적용된 복합체의 최대 결정화도 도달 시간이 증가하는 결과를 나타내었으며, 이는 기존의 연구결과와15 같이 분산성이 증가하여 사슬의 운동을 억제하는 영역이 확대되기 때문으로 해석할 수 있다. 또한 개질 GNP에 PP-g-MAH가 적용된 복합체의 경우 가장 큰 상대 결정와도 도달 시간을 보여주고 있는데, 이는 GNP 분산성 증가와 함께 PP와 GNP 사이의 상용성이 증가하여 나타나는 현상으로 해석할 수 있다. Table 2에 결정화온도, 결정화도 및 50% 상대결정화도 도달시간을 정리하였다.
앞에서 언급한 GNP 개질 및 PP-g-MAH 적용 여부에 따른 상용성 및 분산성이 복합체의 물성에 미치는 영향을 고찰하기 위해 인장탄성률을 평가하여 Figure 6에 나타내었다. PP-g-MAH가 상용화제로 사용된 복합체(PPc/CB/PG)의 경우 인장탄성률이 큰폭으로 감소하는데, 이는 PP-g-MAH의 특성이 반영된 결과로 판단된다. 그러나 개질 GNP와 상용화제가 동시에 사용된 복합체(PPc/CB/AG)의 경우 인장탄성률이 PP-g-MAH 미적용 복합체 수준으로 상승하는 결과를 나타내는데, 이는 PP내 GNP의 분산성과 함께 혼화성이 개선되어 GNP의 특성이 반영된 결과로 해석된다. 따라서 PP와 GNP 복합화 시 GNP 개질과 함께 PP-g-MAH의 혼합 사용이 효과적인 방법으로 판단된다. 굴곡강도와 아이조드 충격강도도 인장특성과 유사한 결과를 나타내었으며, 굴곡강도의 경우 PP는 38 MPa, PP-g-MAH는 36 MPa, GNP 복합체는 33-36 MPa 수준으로 측정되었고, 충격강도 경우 PP는 5.7 J/m, PP-g-MAH는 6.2 J/m, GNP 복합체는 4.3-5.2 J/m 수준으로 PP대비 복합체의 물성이 다소 저하되는 경향을 나타내지만 산업적 응용은 가능한 수준으로 판단되며, 기존의 PP 연구 결과와25 유사한 경향을 나타내었다.
|
Figure 2 DSC thermograms of PP/GNP composites: (a) heating; (b) cooling. |
|
Figure 3 Contact angles of PP/GNP composites. |
|
Figure 4 X-ray diffraction patterns of PP/GNP composites. |
|
Figure 5 Relative crystallinities of PP/GNP composites. |
|
Figure 6 Young’s modulus of PP/GNP composites. |
|
Table 2 Crystallization Temperature, Crystallinity, Time to Reach 50% Relative Crystallinity of PP/GNP Composites |
GNP가 PP에 복합화될 때 GNP 분산성 및 상용성 개선이 필수적이며, GNP의 분산성 향상을 위해 실란커플링제를 이용하여 GNP를 개질하고, 개질 여부에 대해 적외선 분광 스펙트럼을 통해 확인하였다. PP/GNP 복합체에 대해 50% 상대결정화도 도달시간을 이용하여 GNP 분산성을 간접적으로 평가하였으며, 실란으로 개질된 복합체의 상대결정화도 도달 시간이 증가하는 결과로부터 개질 GNP가 적용될 때 분산성이 일부 개선됨을 확인하였다. 개질 GNP와 상용화제인 PP-g-MAH가 동시에 적용된 복합체의 경우 결정화온도가 증가하였으며 상대결정화도 패턴에서의 시간이 증가하는 현상을 보여주었는데, 이는 GNP의 분산성과 PP와 GNP간 상용성 증가로 사슬의 운동 방해가 발생하여 결정화거동이 지연되기 때문으로 해석된다. 이와 같이 GNP 개질과 PP-g-MAH의 동시 적용에 따른 상용성 개선은 PP-g-MAH 단독 적용 시 PP/GNP 복합체에서 감소되는 인장 탄성률 감소폭 개선에 효과적임을 확인할 수 있었다.
This Article2026; 50(2): 268-273
Published online Mar 25, 2026
Services
Correspondence toMajor in Polymer Science and Engineering, Kongju National University, 1223-34 Cheonan way, Cheonan 31080, Korea