
Jinho Park*, ***, Yeong-won Lim*, Beom-Gon Cho**,†
, and Young Gyu Jeong***,† 
*Mobility Materials R&D Division, Korea Automotive Technology Institute, 303 Pungse-ro, Cheonan, Chungnam 31214, Korea
**Department of Polymer Science and Engineering, Kumoh National Institute of Technology,
61 Daehak-ro, Gumi, Gyeongbuk 39177, Korea
***Department of Advanced Organic Materials Engineering, Chungnam National University, Daejeon 34134, Korea
*한국자동차연구원 소재연구본부, **국립금오공과대학교 고분자공학과, ***충남대학교 유기응용재료공학과
Reproduction, stored in a retrieval system, or transmitted in any form of any part of this publication is permitted only by written permission from the Polymer Society of Korea.
Due to international agreements and government regulations, plastic materials should be replaced with recycled materials as soon as possible. This study investigates how the physical and mechanical characteristics of polypropylene (PP), which constitutes the majority of household plastic waste, are altered through repeated recycling processes. Despite being classified as PP, the presence of polyethylene (PE) contamination was detected. The recycling process was simulated through consecutive cycles of extrusion, injection molding, and crushing, closely mimicking industrial recycling operations. The results showed that the mechanical properties of PP noticeably deteriorated with an increasing number of recycling cycles. In addition, accelerated ultraviolet (UV) aging tests were conducted. Prolonged UV exposure resulted in significant declines in PP’s mechanical performance, accompanied by surface chalking and powdering. PP exhibited not only material degradation but also surface discoloration and cracking, underscoring challenges beyond pure mechanical property loss. These findings highlight the necessity of incorporating appropriate additives to improve the performance and durability of recycled PP, depending on its end-use environment.
국제적인 협약과 정부의 규제로 플라스틱 소재는 가능한 빠르게 재활용 소재로 대체 되어야한다. 본 연구는 플라스틱 폐기물의 가장 많은 비율을 차지하는 생활계 플라스틱 중 polypropylene(PP)을 다회차 재활용함으로써 어떤 변화가 일어나는지 확인하고자 하였다. 단, 선별된 PP 소재임에도 polyethylene(PE)이 혼재되어 있었다. 재활용 산업 공정을 모사하여 해당 소재를 압출, 사출, 파쇄와 같은 일련의 공정을 바탕으로 다회차 재활용하였다. 재활용 횟수가 증가할수록 소재의 물성이 저하되었으며, 다양한 환경에 따른 내구성 평가를 위해 자외선 노화 시험을 진행하였다. Ultraviolet(UV) 노화 시간이 증가할수록 PP의 물성 저하와 표면 분말화 현상이 발생하였다. 자외선 민감도가 높은 재활용 PP는 물성적인 측면보다 표면 색상변화와 갈라짐 등 다양한 문제를 일으켰다. 이는 사용 환경에 따라 재활용 소재에 다양한 첨가제의 사용의 필요성을 보여준다.
Mechanical recycling induces property degradation in polypropylene (PP), enabling prediction of recycling durability. Under UV exposure, PP undergoes chain scission, generating low-molecular-weight species that migrate to the surface, leading to severe surface degradation. Compared to polyethylene (PE), PP exhibits intrinsically lower UV durability, highlighting its vulnerability in automotive applications.

Keywords: recycling, polypropylene, recycling industry, environmental test, ultraviolet, durability.
본 연구는 산업통상자원부
탄소혁신스타즈사업 (과제번호: [20024220]), 소재부품기술개발사업(과제번호: [RS-2024-00433508]), 경상북도 지역혁신중심 대학지원체계(RISE)-지역성장 혁신LAB의
지원으로 수행되었음.
저자들은 이해상충이 없음을 선언합니다.
다음과 관련된 실험 결과에 대한 정보(UV 노화시간에 따른 재활용 폴리프로필렌의 색차 변화)는 다음 사이트에서 얻을 수 있습니다(http://journal.polymer-korea. or.kr).
PK_2026_050_02_274_Supporting_Information.pdf (180 kb)
Supplementary Information
대한민국에서 발생하는 플라스틱 폐기물은 폴리에틸렌(PE), 폴리프로필렌(PP), 폴리에틸렌 테레프탈레이트(PET), 폴리스티렌(PS), 폴리염화비닐(PVC), 기타 혼합 플라스틱 및 특수 플라스틱이 있다. 특히 국내에서 합성수지 연도별 생산 및 수요량에서 LDPE, L-LDPE, HDPE와 같은 폴리에틸렌 류와 폴리프로필렌 비율이 지배적이다. 이중 단일 소재로 음료 병으로 제작하는 PET의 경우 재활용에 가장 용이하며, 다른 소재의 재활용은 진척이 느린 편이다. 주요 생산품인 PP는 짧은 수명의 패키징에 많이 사용되기 때문에 재활용이 아닌 매립 방식으로 처리된다. US 환경 보호 정책에 따르면 약 20%의 플라스틱만 매립 가능하기 때문에 이 방식에도 변화가 필요하다. 특히 다른 고분자에 비해 제조되는 PP 발생량에 비해 재활용률은 1% 미만이다. 단일 소재가 아닌 고분자 화합물을 이용하여 다양한 제품을 제작하는 경우도 많고, 폐플라스틱 선별 공정에서 선별 작업이 어렵다는 문제도 존재한다. 그 중 밀도가 비슷한 PP와 PE의 경우 완벽한 선별이 어렵다. PE 단일 소재로 분류가 가능하더라도 LDPE와 HDPE등 다양한 혼합물이 섞이는 경우 기계적 물성 변화가 일어나기 때문에 물질 재활용에 무리가 있다.
생활계 및 산업폐기물은 압착된 상태로 중간처리 업체로 이동되며, 이후 업체에서 플라스틱 폐기물 원료 파봉 후 인력을 통한 재질 선별공정이 이루어진다. 이후 파쇄와 분쇄 공정을 거쳐 플레이크 형태로 작아진다. 이후 마그네틱 선별 공정으로 철과 금속 폐기물을 분리하며, 정전식 선별 공정을 통해 비철, 알루미늄을 분리한다. 이 선별 공정은 고품질의 제품을 내놓기 위해 가장 중요한 공정이다. 근적외선 선별(근적외선을 조사하여 반사된 적외선 광원을 분광시켜 파장별로 스캐닝), 비중 선별(물에서 비중 차를 이용), 정전 선별(챔버로 유입되는 플라스틱을 진동시켜 정전 상태를 형성하여 분리), 레이저 선별(레이저로 임펄스를 가하여 라만 산란 유발하고 산란된 광자 측정), 초분광 선별(가시광선부터 근적외선까지 빛을 잘게 쪼개 재질 별 스펙트럼 확인) 등 다양한 방식이 있다. 국내에서는 자동선별장치 대신 주로 인력을 통한 선별 방식이 사용되고 있었으며, 이는 국내 폐플라스틱의 품질이 낮은 원인이다.
플라스틱 선별 공정 이후 1차 물 세척 공정, 2차 계면활성제 세척 공정과 탈수 및 건조 공정을 마친다. 이후 흑색과 백색, 잡색으로 나누어 색차 선별 공정으로 색에 따른 원료로 나뉘게 된다. 품질 검사를 통과하면 post consumer materials(PCM) 플레이크가 완성된다. 위 과정은 폐플라스틱을 원료화 하기 전 이루어지는 공정이다.
전처리 공정을 거친 PCM 플레이크는 유해물질 제한 지침(RoHS) 검사 및 육안 검사를 진행한다. 원료 균일도 조정을 위한 1차 배합공정 이후 생산을 위한 균일도 및 물성 조정을 위해 2차 배합공정이 진행된다. 품질검사 통과 시 생산 레시피를 토대로 색상, 안정제와 같은 첨가제를 투입하여 믹싱 공정을 진행하여 컴파운드를 생산한다.
재활용 플라스틱의 내구성은 버진(virgin) 소재에 비해 떨어질 수밖에 없다. 수집 및 운송 과정에서도 다양한 물리적 충격에 노출된다. 수집과정에서 플라스틱 간의 충돌과 운송을 위한 압착 과정이 반복 충격을 주어 이미 분자량 감소와 기계적 강도 저하, 결정구조 손상과 충격 저항성 저하를 겪는다. 이는 완전히 보존된 상태의 플라스틱을 단순히 녹여 다시 재활용하는 것보다 품질이 떨어질 가능성이 높다. 이외에도 보관 과정에서도 비나 UV와 같이 무분별한 환경 변화에 노출된다.
UV 노출은 플라스틱에 열화를 일으키며, 분자의 화학 결합을 깨뜨려 분자량 감소를 유발시킨다. 이는 인장강도와 충격 저항성 저하를 일으키는 원인이 된다. 이외에도 공기 중의 산소와 반응하여 산화 반응이 진행되고 이는 플라스틱의 황변을 일으켜 재활용 플라스틱의 색상을 제한적이게 한다. 생활계 폐플라스틱의 주를 이루는 PP와 PE의 경우 플라스틱 표면이 가루처럼 부서지는 표면 분해 및 분말화 현상이 두드러진다. 결론적으로 무분별한 UV 노출은 플라스틱 재활용산업에서 품질 저하 방지를 위해 필수적으로 고려해야한다.
이외에도 1차 재활용된 1차 재생 원료와 거듭된 재활용으로 변질된 다회차 재생 원료의 물성에도 차이가 있기 때문에 고려해야할 변수가 증가한다.
이에 본 연구에서는 post-consumer recycled material(PCR) PP 소재의 물리적 재활용 횟수에 따른 기계적, 열적 특성을 분석하고 특히, UV 노화에 따른 표면, 기계적, 열적 특성을 분석하여 PCR PP 소재의 재활용 및 UV 내구성에 대해서 연구하였다.
재료. 본 연구에서 사용된 폐플라스틱은 자원 재활용 업체 도원(Dowon, Korea)의 생활계 폐플라스틱을 전처리 공정을 통해 선별 및 세척공정을 마친 백색의 PP 소재이다. 이때 PP는 폐플라스틱을 펠렛화 하기 전의 플레이크 형태이다.
실제 재활용 산업 공정을 모사하기 위하여 다음의 공정들을 진행하였다. 첫째, 폐폴리프로필렌 플레이크를 압출 공정으로 펠렛화한다. 둘째, 사출 공정으로 시편 형태로 제작한다. 셋째, 제작한 시편을 파쇄한다.
재활용 PP 소재는 다양한 제품이 혼재되어 있어 버진 소재 확인이 어렵다. 따라서 도원의 백색 PP 플레이크를 버진 재활용 소재(rPP)로 지칭하고 이 실험을 진행하였다. 위의 압출, 사출, 파쇄 공정들을 재활용 회차에 맞춰 진행하여 다회차 재활용 시편과 펠렛을 얻었다. 1회차 재활용 소재(rPP-R1), 2회차 재활용 소재(rPP-R2), 3회차 재활용 소재(rPP-R3)로 지칭하고 시험을 진행하였다.
재활용 PP 펠렛 및 시편제조. 압출기(Bautek, Korea, BA-19)를 온도 190/200/200/200/200/200/190/170 ℃, 300 rpm 조건으로 압출하였다. 사출기는 원일유압 (Wonil, Korea) WL-V-100 수직사출기를 이용하였으며, 210/210/200/190 ℃ 온도 조건으로 사출하였다. 사출 시편은 3DAND 파쇄기를 이용하여 파쇄하였다.
특성 분석. 다회차 재활용 시편의 열적 특성은 melt indexer (QMESYS, QM280, Korea) 장비를 이용하여 용융흐름지수(melt flow rate, MFR)를 분석하였다. ASTM D1238 규격에 따라 2.16 kg, 260 ℃ 조건으로 시험을 진행하였다. 시차주사열량분석기 (PerkinElmer, DSC4000, US)를 이용하여 N2 분위기에서 8-10 mg의 시료를 200 ℃까지 온도를 올리고 10분간 유지하여 열 이력을 제거한 후 10 ℃/min의 속도로 30 ℃까지 냉각시키면서 냉각 곡선을 얻었다. 30 ℃에서 5분간 유지시킨 후 다시 10 ℃/min의 속도로 200 ℃까지 승온시키면서 승온곡선을 얻었다.
열중량분석기(PerkinElmer, TGA4000, US)를 이용하여 분석하였다. N2 분위기에서 30-800 ℃ 온도범위로 10 ℃/min 승온 속도 조건으로 분석하였다.
기계적 특성을 시험하고자 만능재료시험기(MTDI, UT-100F, Korea)를 이용하여 분석하였다. ASTM D638 규격(150×125× 3 mm)의 dog-bone 형태로 인장시험을, ASTM D790 규격(127×125×3 mm)의 시편으로 3점 굴곡시험을 진행하였다. 100 kN 로드셀을 사용하였으며 crosshead speed는 50 mm/min (인장시험), 2 mm/min(굴곡시험)로 설정하였다.
내광성 시험. Dog-bone 시편과 굴곡시편을 UV노화 챔버 (Q-LAB, Q-SUN Xe-3, USA)에 넣고 내광성 시험 규격으로 노화 여부를 관찰하였다. 해당 규격에 의해 약 1주 간격으로 시편을 꺼내 특성을 분석하였다.
열적 특성으로 시차주사열량분석기와 열중량분석기를 이용하여 분석하였으며, 화학적 특성 분석을 위해 적외선 분광기 (PerkinElmer, Spectrum, US), X선 광전자 분광기(Thermo Fisher, K-ALPHA+, UK), 색차계(Scinco, Colormate, Korea)를 이용하여 UV 노화된 샘플의 표면과 단면을 분석하였다. 접촉각 측정 장비로 auto dispensing system(rame-hart instrument co., 100-22, USA)과 CA GONIOMETER(rame-hart instrument co., 90-U3-CA, USA)를 사용하였다.
다회차 재활용 PP의 물성 변화. 열적 특성 변화: 재활용 공정 횟수가 증가함에 따라 소재의 분자량 변화 분석을 위하여 MFR를 분석하였다(Table 1). MFR 분석 결과에서 재활용 횟수가 증가함에 따라 재활용 PP 소재의 용융 흐름지수 증가 폭이 재활용 원자재와 비교하여 3회차 재활용 자재는 약 421%가량 증가하였다. 이와 같은 MFR 증가는 재활용 중 사슬 절단으로 인한 분자량 감소에서 유래된다.1
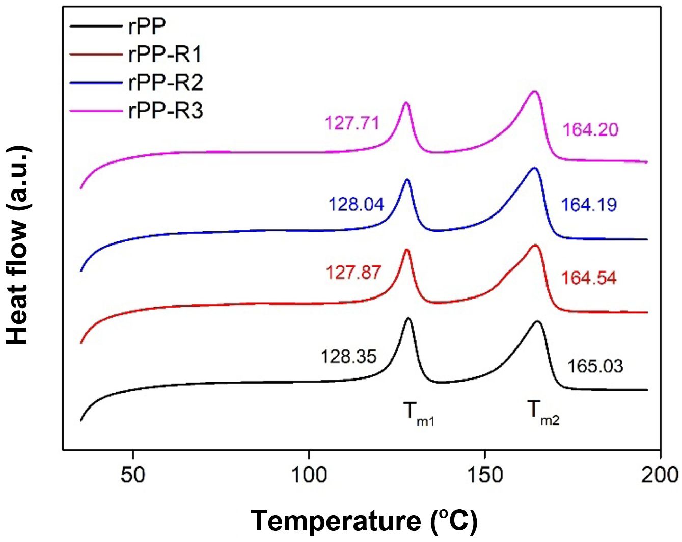
시차주사열량계(differential scanning calorimetry, DSC) 분석 결과(Figure 1), 재활용 PP 외에 PE의 피크가 동시에 확인되었다. 130 ℃ 부근에서 PE 피크, 165 ℃ 부근에서 PP 피크가 확인된다. 선별 공정의 한계로 완벽하게 PP와 PE가 분리되지 않았음을 보여준다.
재활용 횟수에 따른 용융 온도(melting temperature, Tm)가 감소하였고 특히, 165 ℃ 부근의 PP 용융 온도가 지속적으로 감소하였다. 이는 반복된 재활용 공정에서 고분자 사슬이 짧아지고, 결정구조가 불완전해지기 때문이다.2DSC 분석 결과 130 ℃ 부근에서 PE 피크, 180 ℃ 부근에서 PP 피크가 확인되는 것으로 보아 생활계 폐플라스틱에서 PP 소재를 선별하더라도 PP, PE 소재가 혼재되어 있는 것으로 판단된다.3이는 생활계 폐플라스틱 선별에서 주로 사용되는 비중선별 공정만으로 밀도가 비슷한 PP와 PE는 분리가 어렵기 때문이다.
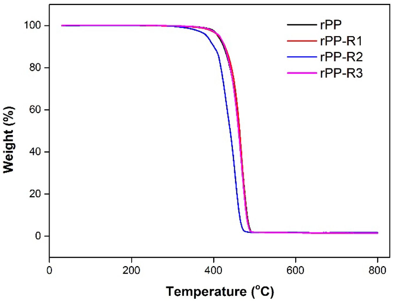
열중량분석(thermogravimetric analysis, TGA) 결과, 재활용 PP 소재는 400-500 ℃ 범위에서 급격하게 분해가 진행된다(Figure 2). 재활용 횟수가 증가해도 큰 차이 없이 비슷한 분해 거동을 보였다. 결론적으로 재활용 PP는 재활용 횟수에 따라 분자량 차이는 발생하지만, 이에 따른 열물성 변화는 크지 않은 것으로 확인된다.4
기계적 특성 변화: 인장강도는 재활용 횟수 증가에 따라 지속적으로 감소하였다(Figure 3, Table 2). 특히 1회차에서 8%, 연신율은 약 30% 감소하였다. 이는 반복된 재활용 공정에서 고분자 사슬이 짧아지고, 결정구조가 불완전해지기 때문이다. 반면 굴곡강도는 재활용 횟수 1, 2회차에 감소하고 3회차에 소폭 증가하는 경향을 보였다. 이는 분자량이 감소하면서 결정화도가 일시적으로 증가하고, 이에 따라 국소적인 강성이 증가한 결과로 해석된다.5
UV 노화에 따른 재활용 PP의 물성 변화. 열적 특성 변화: 4주간 UV 노화 시, PE의 용융점은 유사하지만, PP의 용융점이 크게 감소하였다(Figure 4).6이는 PP 소재가 UV에 의해 분자 사슬 절단이 일어나기 때문에 발생하는 현상으로 판단된다. 또한 이 결과를 기반으로 PE 소재 대비 PP 소재가 PE소재 대비 UV에 취약한 것으로 확인된다.
UV를 조사함에 따라 시편 표면에 가루가 일어나는 현상이 발견되었는데, UV를 4주 조사했을 때 PP의 용융점이 다시 163.73 ℃가 되는데, 이는 표면에만 영향을 줄 수 있는 UV 특성 상 시편 표면에 UV에 의해 분해된 저분자량 PP 소재가 가루로 일어난 후 자연적으로 제거되었기 때문으로 판단된다.
TGA 분석에서는 UV 노화 전후 모두 400-500 ℃에서 분해가 진행되었으며(Figure 5), 4주차에서 분해 시작 온도가 급격하게 감소한 것을 확인하였다. 이를 통해 4주 이상 UV 노화 시 내열성이 급격하게 저하될 것으로 판단된다.
기계적 특성 변화: UV 노화 기간이 길어질수록 인장강도와 신율이 선형적으로 감소하였다(Figure 6(a), Table 3).7UV에너지가 C–C 및 C–H 결합을 끊고, 산소와 반응하여 산화 분해를 일으키는 광열화 메커니즘이 작용되었을 것으로 판단된다. 굴곡 강도는 UV 노화 1주차에 증가했다가 감소하였다 (Figure 6(b), Table 3). 이는 UV에너지로 인해 표면에 일부 가교가 일어나 발생하는 현상으로 판단된다.8
화학적 변화: Figure 7에 의하면, 적외선 분광분석(Fourier transform-Infrared spectroscopy, FTIR)결과, UV 노화 주차가 증가할수록 전체 스펙트럼에서 투과도가 점진적으로 감소하는 경향을 보였다.91700-1750 cm-1 부근에서의 신규 흡광 피크는 카보닐기(C=O)의 stretching vibration에 해당하며, 이는 UV 조사에 의해 생성된 알데하이드 또는 케톤계 산화 생성물에 의한 현상으로 판단되므로, UV 조사에 의해 PP가 열화반응으로 산화되었음을 알 수 있다. 1300-1400 cm-1 부근, 1400-1500 cm-1 부근에서의 피크는 점차 감소되는데 이는 CH2 메틸렌기와 CH3 메틸기의 bending vibration과 연관있는 피크이며 PP 사슬의 특징적인 피크이다. UV조사로 광분해 및 산화반응으로 고분자 사슬 절단을 나타내는 전형적인 스펙트럼이다.
표면 변화: UV 노화에 따른 재활용 PP 시편의 색차(ΔE)를 측정한 결과, 노화 시간이 증가함에 따라 ΔE 값이 선형적으로 증가하였다.10이는 광산화 반응으로 인해 색상 퇴색(fading), 황변(yellowing), 백화(chalking) 현상이 동시에 발생하였으며, 분자 체인 절단 및 탄화 반응이 일어났기 때문이다. UV 4주 노화 시 ΔE는 초기 대비 평균적으로 10 이상 증가하였으며, 이는 육안으로도 뚜렷한 색상 변화가 감지되는 수준이다(Table S1).
또한, UV 조사에 따른 표면의 분해와 백화현상으로 시편 표면의 백색분말이 떨어져 나오고 표면이 갈라지는 현상이 확인되었다(Figure 8). 이 분말들은 표면에 흡착되거나 일부 탈락하여 불균일한 표면을 형성시킨다. UV 조사에 따른 표면 변화를 확인하고자 접촉각을 측정하였다(Table 4, Figure 9). UV 노화 1주차~3주차는 소수성이 증가하였는데 이는 분말이나 미세한 요철이 물방울과 공기층을 형성했기 때문이며, 4주차가 되어 표면의 분말이 떨어져 나가 표면 거칠기는 증가하나 크랙이 깊어져 접촉각이 감소하는 경향성을 보였다.11
UV노화에 따른 표면 분말 분석. 선행 연구를 통해 UV 노화에 따른 재활용 PP 소재의 표면 열화는 표면 분해 및 분말화 현상으로 이어지는 것을 확인하였다.12본 연구에서는 UV 노화 챔버에서 노화 후 표면에서 분리된 분말만 포집하여 열적·기계적 특성을 분석함으로써 UV 노화가 표면층에 미치는 영향과 그로 인해 발생한 분말화 현상을 정량적으로 고찰하였다.
열적 특성 분석: 분석된 표면 분말 시료는 UV 조사 전과 비교하여 용융온도(Tm)가 더 낮은 경향성을 보였으며, 일부 샘플에서는 용융 피크가 넓고 낮게 분포하였다(Figure 10). 이는 결정성이 낮은 산화된 파쇄분의 특성을 반영한 결과로 해석된다.13UV 조사 후 시편 상태의 결과와 동일하게 165 ℃ 부근에서 발생하는 PP 용융 온도가 급격하게 감소하는 것으로 보아 PP 소재가 분해되며 분말화 현상이 발생하는 것으로 판단된다.
Figure 11에서 TGA 분석 결과, 분해 시작 온도(onset, Td)가 일반 재활용 PP보다 20-30 ℃ 낮게 나타났으며, 이는 UV 조사로 생성된 저분자량 산화물이 조기 분해됨을 의미한다.14
구조 변화 분석: UV 노화에 따른 표면 분말 및 소재 표면 구조 변화 분석을 위해 X선 광전자 분광기(X-ray photo electron spectroscopy, XPS)분석 결과, UV 노화 주차가 증가할수록 탄소 원자 비율이 감소하고 산소 원자 비율이 증가하는 경향을 확인했다(Table 5). 이는 UV조사에 의해 PP 분자내 C-H 결합이 분해되고 라디칼이 형성된 후 공기 중 산소와 결합하여 C-O, C=O 결합을 형성했기 때문으로 판단된다.
수소 UV 노화에 따른 표면 분말의 성분 분석 결과 탄소 원자가 93.81 at.% 존재하는 것을 확인했다. 이는 UV 노화 기간이 길어짐에 따라 PP 분자의 main chain의 C-C결합이 분해되어 저분자량 PP가 표면의 분말로 형성되었기 때문으로 판단된다.
|
Figure 1 DSC curves of PP according to recycling numbers. |
|
Figure 2 TGA curves of PP with increasing recycling cycles. |
|
Figure 3 S-S curves of PP with increasing recycling cycles after: (a) tensile test; (b) flexural test, respectively. |
|
Figure 4 DSC curves of recycled PP with different UV aging duration. |
|
Figure 5 TGA curves of recycled PP with different UV aging duration. |
|
Figure 6 S-S curves of recycled PP with different UV aging duration after: (a) tensile test; (b) flexural test, respectively. |
|
Figure 7 FTIR results of recycled PP with different UV aging duration. |
|
Figure 8 Optical microscope images of the surface of specimen on recycled PP with different UV aging duration. |
|
Figure 9 Pictures of the contact angles of water on recycled PP with different UV aging duration. |
|
Figure 10 DSC curves of particles decomposed from the recycled PP specimen with different UV aging duration. |
|
Figure 11 TGA of particles decomposed from the recycled PP specimen with different UV aging duration. |
|
Table 2 Tensile Strength and Flexural Strength Values of PP with Increasing Recycling Cycles |
|
Table 3 Tensile Strength and Flexural Strength Values of PP According to UV Aging Duration |
|
Table 5 Percentage of Elements on Surface of PP and Powder According to UV Aging Duration |
본 연구에서는 생활계 폐플라스틱에서 선별된 재활용 PP을 다회차 물리적 재활용 및 UV 노화 조건에서의 열적, 기계적, 화학적 특성 변화를 분석하였다. 실제 재활용 산업에서의 공정을 모사하여 파쇄, 압출 및 사출 공정을 반복 수행하였으며, UV 챔버를 이용한 가속 노화 실험을 병행함으로써 재활용 플라스틱의 장기 내구성을 정량적으로 평가하였다.
다회차 재활용 실험 결과, 열적 특성 분석 시 재활용 횟수 증가에 따른 분자량 감소와 물성 저하를 확인하였다. 특히 DSC 분석 결과, PP 외에도 분리되지 않은 PE 피크가 확인되어 현재 국내 선별 공정의 물리적 한계가 물성에 영향을 줄 수 있음을 시사하였다.
UV 노화 실험에서는 열적 안정성(TGA)에는 큰 변화가 없었지만, 인장강도, 연신율, ΔE, FTIR 분석 결과를 통해 광열화에 의한 열화 및 표면 분해 현상이 명확히 관찰되었다.
UV 조사로 인해 분리된 표면 분말의 열분석 결과에서도 결정성이 저하되고, 용융 및 분해 온도가 하락하는 경향이 나타났다. 이는 UV로 인해 생성된 저분자량 산화물이 표면에서 우선적으로 축적되어 분말화되어 탈락한 것임을 보여준다.
결론적으로 본 연구는 다음과 같은 결과를 나타낸다. 첫째, 재활용 횟수 증가에 따라 PP의 물성 저하가 불가피하게 발생하며, 반복 사용을 전제로 할 경우 분자량 안정화 기술 또는 보강제가 필수적이다. 둘째, UV 노화에 의한 재활용 PP의 물성 변화는 열적 안정성보다 기계적 성능 저하와 외관 변화에 더욱 큰 반응성을 보였다. 반복적인 UV 노화는 PP 장기 내구성에 악영향을 미치며 이러한 변화를 막기 위해 UV 안정제와 같은 보강제 첨가가 필요하다. 셋째, 표면에서의 분말화 및 광분해 현상은 단순한 미관 문제를 넘어서 고분자 구조 손상으로 이어질 수 있음을 실험적으로 입증하였다.
향후 재활용 플라스틱의 넓은 범용성과 내구성 향상을 위해서는 혼합된 플라스틱의 선별 정밀도 향상과 더불어 UV 안정화 첨가제를 적용한 PP 보강 등 다양한 시스템 설계가 필요할 것이다.
This Article2026; 50(2): 274-281
Published online Mar 25, 2026
Services
Correspondence to**Department of Polymer Science and Engineering, Kumoh National Institute of Technology,
61 Daehak-ro, Gumi, Gyeongbuk 39177, Korea
***Department of Advanced Organic Materials Engineering, Chungnam National University, Daejeon 34134, Korea