
Wan Ho Kim, Sein Oh, Hojin Son*, Harin Lee*, and Changhun Yun*,† 
Lighting Materials & Components Research Center, Korea Photonics Technology Institute, Gwangju, 61007, Korea
*School of Polymer Science and Engineering, Chonnam National University, Gwangju, 61186, Korea
한국광기술원 조명소재부품연구센터, *전남대학교 고분자융합소재공학부
Reproduction, stored in a retrieval system, or transmitted in any form of any part of this publication is permitted only by written permission from the Polymer Society of Korea.
For the improvement of energy efficiency of electric vehicles, the metal-coating heated glass as a windshield has been widely adopted. However, it has been known that the visibility of polyvinyl butyral (PVB) film, a polymeric interlayer material for laminated glass, drastically deteriorates because of the yellowing effect after reliability test. In this work, using high power UV-LED with central wavelength of 365 nm, the accelerated testing of photochemical degradation of PVB in a heated glass was demonstrated. After UV-irradiation for 72 h, the yellowness index of PVB increased to 12.5 and 13.6 at surface temperature of 55 ℃ and 68 ℃, respectively. According to FTIR and thermogravimetric analysis, the chemical structure of PVB was altered via crosslinking reaction by the absorbed UV-radiation.
본 논문은 전기 자동차에 활발히 적용되고 있는 발열 전장 유리의 UV 조사 환경에서 시간에 따른 광학적 투과율 변화의 원인을 연구하였다. 전기 자동차의 에너지 효율 향상 및 사용자의 안전과 편의를 위하여 금속 박막이 코팅된 발열 전면 유리가 활발히 도입 중이다. 하지만 발열 유리 접합에 널리 사용되는 polyvinyl butyral(PVB) 필름은 신뢰성 평가 이후 발생하는 황화 현상으로 시인성이 크게 떨어지는 문제가 있다. 본 연구는 높은 조사 감도를 갖는 365 nm UVA LED 모듈을 이용하여 72시간의 짧은 시간에도 황화 현상을 유발할 수 있었다. 이를 이용하여 발열 유리에 전력을 인가하면서 UV 조사와 동시에 발열 유리 표면 온도를 55 ℃와 68 ℃로 조절하였을 때, yellowness index는 각각 12.5와 13.6으로 크게 증가하였다. 특히 PVB 유리 전이 온도 이상의 온도에서 UV광이 조사되었을 때, 높은 황화 반응과 가교 반응을 통한 PVB 화학 구조 변화가 관찰되었다.
In this work, using high power UV-LED with central wavelength of 365 nm, the accelerated testing of photochemical degradation of poly(vinyl butyral) (PVB) in a heated glass was demonstrated. After UV-irradiation for 72 hrs, the yellowness index of PVB increased with increasing surface temperature. According to Fourier transform infrared spectroscopy (FTIR) and thermogravimetric analysis (TGA), the chemical structure of PVB was altered via crosslinking reaction by the absorbed UV-radiation.

Keywords: heated glass, poly(vinylbutyral), UVA light emitting diode, photochemical degradation, yellowing.
본 연구는 산업통상자원부의 소재부품기술개발(R&D)(RS-2024-00507675, 48V급 발열유리 실차 적용 안전·신뢰성 검증기술 개발)의 지원을 받은 연구결과입니다.
저자들은 이해상충이 없음을 선언합니다.
기후변화에 대한 전 세계적인 관심의 증가로 주요국들 사이에서 탄소중립을 위한 친환경 자동차 보급확산 정책을 바탕으로 전기차(electric vehicle) 시장이 빠르게 성장하고 있다. 이에 따라, 전기차의 주행거리 증가, 경량화 등의 에너지 효율 극대화에 대한 연구는 전 세계적으로 활발히 수행 중이다.1 특히, 전기차의 안전한 주행 능력과 운전자의 편의에 직접적으로 영향을 미치는 전장 부품(automotive electronics)은 성능 향상과 더불어 전력소모량 감소에 대한 기술적 수요가 꾸준히 증가하고 있다.2,3
여러가지 전장 부품 중, 이상기후 상황 및 겨울철 운전자의 안전한 시야를 확보하고 차량 실내 온도를 일정하게 유지할 수 있도록 발열 성능이 포함된 전면 유리(windshield)가 글로벌 전기차 제품에 활발히 도입 중이다.4,5 전기차에는 기존 엔진 폐열을 이용한 실내 난방 및 전면유리 제상에 활용할 수 있는 열원이 제한되며, 히트펌프나 positive temperature coefficient (PTC) 히터를 사용하면 주행 가능 거리(전비)가 감소된다. 에너지 효율이 높은 발열 유리를 이용해 직접 전면유리를 가열하는 방식은 유리 표면 온도를 빠르게 올리기 유리한 장점을 가지고 있어 제상 속도와 에너지 효율 확보를 위해 발열 유리의 역할이 중요해지고 있다.4,5 특히 자율주행 시스템은 차량 내·외부 센서로 주행 정보를 수집하며, 비전 센서 등 핵심 정보 수집 센서가 전면 유리에 부착된다. 전면 유리 표면의 성에 및 습기는 센서의 데이터 수집을 저해하여 자율주행 기능의 안정적인 작동을 어렵게 한다. 따라서 효과적인 제상 기술의 필요성이 강조된다.5 통상적으로 유리 표면에 텅스텐 열선을 부착하여 직접 가열하는 발열 유리가 적용되었으나, 불투명한 열선 때문에 전면 유리의 시인성이 감소하는 단점이 존재하였다.5,6 또한, 고분자 필름 표면에 은나노선을 분사하거나 금속산화물이 증착 된 자동차용 투명 발열 필름이 연구되었지만, 내구성이 떨어지는 한계를 보였다.7,8 최근 들어 내구성이 향상된 투명 발열 필름을 구현하는 동시에 전기 저항을 낮추어 제상 성능을 증가시키고, 실내 온도를 효과적으로 제어할 수 있는 발열 접합 유리가 개발되었다.7 전기차 용 발열 접합 유리는 기상증착법을 이용하여 은과 같은 전기 전도도가 높은 금속 박막이 코팅된 유리와 일반 자동차 유리가 poly(vinylbutyral) (PVB) 필름으로 접합된 구조를 갖는다(Figure 1(a)). 이러한 발열 접합 유리는 영하 40 ℃ 이하의 극한 상황에서도 뛰어난 제상 성능을 보이며, 특히 48 V 이상의 고효율 전기차 시스템과 호환성 및 낮은 전력 소모로 크게 각광받고 있다(Figure 1(b)).1,7
자동차 전면 유리에 적용되는 접합 유리는 강한 바람이나 충돌 등으로 외부에서 가해지는 bending, shear stress와 같은 다양한 충격을 고분자 층을 통해 분산 및 완화시킨다.9,10,11 또한, 유리가 깨졌을 때 고분자 층이 유리 파편을 잡아주어 운전자의 부상을 막을 수 있다. 접합 유리는 두 장의 유리 기판 사이에 고분자 필름을 위치한 이후, Autoclave에서 110~140 ℃ 온도와 200~300 psi의 압력 조건의 접합 공정으로 제작된다.11 이 과정에서 고분자 내 hydroxyl group과 유리 기판의 silanol group사이에 결합이 생성되면서 높은 접합 특성을 보인다. 다양한 고분자 중에서도 PVB는 높은 가시 광 영역 투과율과 유리기판에 높은 접착성능으로 자동차 및 건축 용 유리로 널리 사용된다(Figure 1(c)). 추가로 소음 흡수 성능이 뛰어나, 자동차 외부에서 발생하는 소음 차단제 역할을 동시에 하는 것으로 알려져 있다.9 하지만, PVB는 태양광 및 고온 조건에서 장기 신뢰성 평가 이후 초기 기계적 물성이 유지되지 않는 단점을 보인다. 특히, 신뢰성 평가 이후 발생하는 황화 현상 (yellowing)은 가시 광 영역 투과 특성이 매우 중요한 전면 유리에서 발생하는 큰 문제로 여겨지고 있다. 이와 관련하여 광화학적 변성(photochemical deterioration) 및 열화 효과(thermal aging effect)에 대한 많은 연구들을 통해 다양한 PVB 분해 메커니즘이 보고되었다.12,13 하지만 발열 유리와 같이 광화학적 반응과 열화가 동시에 발생하는 경우에 대한 연구는 거의 보고된 바 없다.
따라서 본 연구는 광원이 조사되는 동시에 발열 유리에 전력을 인가하면서, 발열 유리의 광학적 투과율에 PVB 황화 현상이 미치는 영향을 연구하였다. 우리는 PVB의 흡광도가 크게 증가하는 400 nm 미만 UV 영역 중에서도 높은 광출력을 보이는 동시에 광원 조사로 인한 발열 유리의 온도 변화를 최소화할 수 있는 ultraviolet A light emitting diode(UVA LED) 모듈을 도입하였다. 기존 선행 연구에서는 UV 램프를 이용하여 광출력 제어가 어려우며, UV 파장 범위가 넓기 때문에, 장시간 신뢰성 평가를 통하여 광학적 특성 변화를 분석하였다. 하지만, 본 연구에서는 선행연구와는 다르게, UV LED 광원 모듈을 이용하여 광출력과 파장 제어를 통해 72시간이라는 비교적 짧은 조사 시간에도 PVB의 황화 현상이 관찰되었다. 특히, 발열 유리의 온도를 증가할 경우 상온 대비 황화 현상이 가속되었다. 우리는 광화학적 반응과 열화 반응이 동시에 일어난 다양한 시료의 푸리에 변환 적외선 분광법(Fourier transform infrared spectroscopy, FTIR), 열중량분석법(thermogravimetric analysis, TGA), 시차 주사 열량측정법(differential scanning calorimetry, DSC) 등을 통하여, 발열 유리 내부에서 광화학적 변성에 따른 PVB의 물성 변화와 내부 구조 변화의 상관관계를 도출하였다.
|
Figure 1 (a) The heated windshield for electric vehicles (left) and a schematic structure of the laminated heated glass consisting of a metal-coating layer and a poly(vinylbutyral) film (right); (b) The de-frost on the windshield after an electrical power is applied to the heated glass; (c) The molecular structure of Poly(vinylbutyral). |
발열 유리 준비 및 발열 성능 조절. 실험에 사용된 발열 유리 시편은 Audi Q4 E-tron 모델에 적용된 전면 발열 유리(Saint-Gobain Sekurit ClimaCoat®, 프랑스)를 Water-jet 장비로 3 × 3 cm2 크기로 절단하여 발열 유리 시편을 제작하였다 (Figure 2(a)). 제작된 발열 유리에 전력을 인가하기 위하여, 시편 모서리 네 곳에 동박(copper)을 부착하고 도전성 수지(ELCOAT P-100, 한국)를 도포하여 금속 박막과 연결하였다. 모든 시편은 동일한 크기와 전극 조건으로 제작하고 실내 온도가 25 ℃로 일정하게 유지하여 실험 간 재현성을 확보하였다. 발열 유리의 온도 변화에 따른 내구성 변화 실험을 위하여, 직류 전원공급기(GP-4305DU, EZ DIGITAL, 한국)를 사용하여 전류를 0.90 A, 1.15 A, 1.60 A를 인가하여 유리 표면의 온도를 40, 50, 60 ℃로 조절하였다. 이때 시료간 저항 편차에 따른 오차를 줄이기 위하여, 전원공급기의 전압은 자동 보정되도록 설정하였다.
발열 유리의 온도 측정은 적외선 열화상 카메라(Avio TVS-500EX, Nippon Avionics co., 일본)와 써모미터(Fluke 54 II, Fluke®, 미국)에 접촉식 프로브(Fluke 80PK-1, Fluke®, 미국)를 연결하여 병행 수행하였다. 열화상 카메라는 시편 표면의 온도 분포를 실시간으로 관찰하는 데 사용되었으며, 써모미터는 발열 유리 표면 온도를 정확하게 측정하여 열화상 카메라 측정값을 보정하였다.
UVA 모듈을 이용한 광화학 반응기의 구성. UV 광원 조사에 따른 발열 유리의 성능 저하를 분석하기 위하여, 본 연구에서는 365 nm 중심 파장을 갖는 고출력 UV LED를 도입하였다. 이를 위해 장시간 UV광을 안정적으로 조사하기 위하여 자체 제작한 LED 모듈과 측정 챔버를 Figure 2(b)와 같이 구성하였다. 방사선속 5.3 W의 365 nm UV LED(LEUVA77000RV00, ㈜LG이노텍, 한국) 4개를 2×2 배열로 PCB 기판에 솔더링하여 UVA 모듈을 제작하였다. UVA 모듈의 구동 조건은 제품 사양에 맞추어 인가 전류 1 A로 설정하였으며, 방열을 고려하여 알루미늄 기판과 히트싱크를 결합함으로써 장시간 구동 시 출력 저하 및 열에 의한 파장의 변화를 최소화하였다. 광원과 발열 유리 시편 간 거리는 지그를 이용하여 3 cm로 고정하였으며, 광량계를 통해 측정한 조사 강도는 180.8 mW/cm2 였다.
UV광 조사 전 후 발열 유리 및 PVB 특성 분석. 본 연구에서는 UV광 조사 시간 및 발열 온도에 따른 발열 유리의 전기 및 광학적 특성을 측정하였다. 먼저, 시편 모서리 네 곳에 부착된 동박에 digital source meter(Keithley 2400, 미국) 4-wire-sense 방식으로 측정된 저항 값을 가지고 Van der Pauw법을 이용하여 발열 유리의 면저항을 분석하였다.14 광학 투과율은 UV/Vis 분광계(Thermo-Scientific, Evolution 220, 미국)를 이용하여 측정하였으며, yellowness index는 ASTM E 313 규격에 맞추어 측정하였다(StellarNet Inc. Blue-wave spectrometer, 미국). 각각의 실험 조건에서 각기 다른 발열 유리 4개를 사용하여 얻어진 측정 평균값 및 분포를 이용하였다.
전기적 광학적 측정이 완료된 발열 유리에서 유리 및 금속 박막을 제거한 뒤, PVB 필름만의 광화학적 변화를 분석할 수 있었다. UV/Vis 흡광도 측정을 위해, 0.5 g의 PVB 필름을 10 mL tetrahydrofuran(THF, Sigma-Aldrich, USA)에 완전히 용해시킨 뒤, 3 mL 유리 큐벳 셀에 넣어 UV/Vis 분광계 (Thermo-Scientific, Evolution 200, 미국)로 측정하였다. UV광 조사 시간 및 발열 온도 조건에서 PVB 고분자의 변화를 정밀하게 분석하기 위하여, FTIR 스펙트럼 분석(Bruker, Alpha, 독일), TGA 분석(TGA2, Mettler Toledo, 스위스), 그리고 DSC 분석(DSC3, Mettler Toledo, 스위스)을 이용하였다.
|
Figure 2 (a) The photograph (left) and the cross-sectional image (right) of the tested heated glass from the conventional EV; (b) Experimental setup for the photochemical degradation test using the UV LED module; (c) Optical transmittance of the heated glass depending on the irradiation time using UVA LEDs; (d) the change of electrical sheet resistance and the calculated yellowness index. |
접합 유리에 들어가는 PVB 필름의 광화학적 반응은 다양한 선행 연구를 통해 보고되었다. 특히 UVB 램프(280-340 nm), UVA램프(320-410 nm), 그리고 가시광램프(daylight fluorescent) 등 각기 다른 파장의 영향에 의한 PVB 필름의 yellowness index 변화 및 peroxide 생성이 연구되었다.13 하지만, 대부분의 선행 연구에서 사용한 광원은 형광램프를 이용하였으며, 실제 PVB 필름에 도달하는 조사 강도는 2-5 mW/cm2 수준으로 매우 낮아 PVB 필름의 광화학적 변성을 확인하기 위해서는 평균적으로 200-500시간이 소모되었다. 또한, UV 램프에서 발생하는 복사열로 인하여 PVB 필름의 온도 제어가 힘들다는 단점도 존재하였다. 이러한 문제를 해결하기 위해 본 연구에서는 좁은 파장 분포와 방사각도를 갖고, 높은 발광 효율을 보이는 UVA LED와 방열 설계를 통해 복사열을 낮춘 UV 조사 가속 평가 장치를 도입하였다(Figure 2(b)). 도입된 UV 조사 장치는 조사 강도가 180.8 mW/cm2로 선행 연구 대비 40-100 배 강한 UV광을 조사할 수 있다. Figure 2(c)는 UVA LED 조사 시간에 따른 3 × 3 cm2 크기의 발열 유리의 광학 투과율 스펙트럼을 측정한 결과이다. 일반적인 접합 유리와는 달리 발열 유리는 500 nm 이하 가시광 영역의 투과율이 565 nm 부근의 최대 투과율 대비 4-5% 정도 낮게 측정되는데, 이는 Inner glass에 증착 된 금속 박막의 투과 스펙트럼 때문이다(Figure 2(b)).7 하지만 UV 조사 가속 평가를 진행하면서 24시간 간격으로 투과율을 측정하였을 때, 발열 유리의 투과율이 점차 감소하는 것이 관찰되었다. 72시간 UV 조사 이후 560 nm 투과율은 73.9%에서 73.4%로 소폭 감소했지만, 485 nm 투과율은 68.2%에서 67.4%로 더 크게 감소하였다(Figure 2(c)). 이러한 투과율 감소는 발열 유리의 구성 요소 중 금속 박막 및 PVB 필름에서 발생할 수 있다. Figure 2(d)의 UV 조사 시간에 따른 금속 박막의 면저항 측정 결과를 보면, 조사 시간과 무관하게 면저항 값은 오차범위 내에 분포하고 있다. 기상 증착으로 형성된 금속 박막은 물리적, 화학적으로 안정하여 광 조사에 따라 전기적 특성 변화는 보고된 적이 없다. 또한, 금속 박막의 미세한 구조적 변화는 0.65 W/sq의 낮은 면저항을 크게 증가시킬 수 있기 때문에, UVA LED 조사에 따른 금속 박막의 영향은 무시할 수 있다.7 따라서, UV 조사 시간에 따른 투과율 변화는 900 mm 두께의 PVB의 황화로 설명 가능하다. 광학 투과율 스펙트럼과 마찬가지로 발열 유리에 UVA 광원을 72시간 조사하면, yellowness index가 11.67에서 12.05로 증가한다. 즉, 제안된 UVA LED 모듈을 이용한 UV 조사 가속 평가 장치는 72시간이라는 짧은 시간 내에 PVB 필름의 변성을 유발하였다.
전기차에서 발열 유리는 투명 금속 박막에 버스바를 통해 전력을 인가하여 유리 표면 온도를 제어한다. Figure 3(a)와 같이 본 연구에서는 버스바를 대체하여 동박과 도전성 수지를 이용하였다. 동박이 3 × 3 cm2 크기의 발열 유리 모서리 부분에 부착되고, (+)극과 (-)극이 대칭으로 연결되었을 때 유리 표면에서 균일한 온도 분포가 얻어지는 것을 확인하였다(Figure 3(b)). 또한, UVA 광 조사 실험에서 온도 차이에 의한 열 유출 현상을 차단하기 위하여 Figure 3(a)와 같이 시료를 전선을 사용하여 UVA LED 모듈 상단에 배치하여 실험을 진행하였다. 먼저 UV 조사 이전 발열 유리 표면 온도 설정을 위하여, 발열 유리에 구동 전력을 조정하여 30분 이후 부터 온도가 각각 40, 50, 60 ℃로 일정하게 유지시켰다. 먼저 UV광 조사를 하지 않고, 72시간 동안 유리 표면 온도를 40, 50, 60 ℃로 유지한 발열 유리는 발열 유리 투과율 스펙트럼의 변화가 거의 관찰되지 않았다(Figure 3(c)). 반면 40, 50 ℃ 조건의 발열 유리에 UVA 광을 조사하면, 투과율이 급격하게 감소하였다. 특히 485 nm 투과율은 발열 온도가 40 ℃에서 50 ℃로 증가하면서 67.3%에서 66.8%로 더 크게 감소하였다. 하지만 발열 온도, UV광 조사와 무관하게 면저항 변화는 관찰되지 않았다. Figure 3(d)에서 실제 유리 기판의 온도 증가와 UV광 조사가 발열 유리의 yellowness index 변화에 미치는 영향을 판단할 수 있다. 72시간 UV광을 조사하면서 실제 발열 유리의 표면 온도를 측정한 결과, 목표 온도 대비 15-20 ℃ 온도 상승이 관찰되었다. 이는 UVA 모듈에서 나오는 복사열 효과와 외부 광원을 차단하기 위해 사용한 암실 챔버의 영향으로 여겨진다. 먼저, UV 광원이 없는 상태에서는 60 ℃까지 유리 표면 온도를 증가시킨다고 하더라도, yellowness index가 11.5로 변하지 않았다. 하지만, UVA 광을 72시간 조사한 발열 유리는 발열 온도가 40 ℃에서 50 ℃ 조건에서 각각 12.5, 13.6으로 크게 증가하였다. UV 조사 없는 60 ℃ 발열 유리가 UVA광을 조사한 40 ℃ 시료보다 더 높은 표면 온도에 도달하였지만, UVA 광을 받은 시료의 황화 변성이 더욱 크게 관찰되었다. 즉, 황화 현상을 발생시키는 원인이 PVB 필름의 온도 조건 보다는 UVA광 조사 효과가 더욱 크다는 점을 알 수 있다. 추가로 같은 UVA광을 조사하더라도 PVB 필름의 온도가 높을수록 더욱 빠른 황화가 진행됨을 확인하였다.
발열 유리에 사용한 PVB의 광학 흡수 스펙트럼을 살펴보면, 조사한 빛의 파장이 PVB의 변성에 미치는 영향을 유추할 수 있다. PVB는 420 nm 이하의 파장을 갖는 UV 광원을 강하게 흡수하는 반면 가시광에서는 높은 투과율을 보인다. (Figure 4(a)) 따라서, 발열 유리의 투과율에서 420 nm 파장에서 관찰된 급속한 투과율 감소는 PVB의 흡수에서 기인한다. 특히 본 연구에서 사용된 UVA LED의 발광 스펙트럼을 살펴보면, PVB의 강한 흡수가 존재하는 380 nm 이하에서 분포하여 조사된 빛 에너지가 99.9% 이상 흡수된다(Figure 4(a)). 높은 광 에너지 흡수율과 조사 강도로 인하여, 비교적 짧은 시간에도 PVB의 황화 현상을 유도하였다. PVB의 황화 현상의 원인을 파악하기 위하여, 처리를 하지 않은 시료(Pristine)와 발열을 하지 않은 상태로 UV를 조사한 시료(UVA+25 ℃) 그리고 50 ℃ 발열 조건에서 UV를 조사한 시료(UVA+50 ℃) 3종에 대한 구조 분석을 하였다. Figure 4(b)의 FTIR 스펙트럼 분석을 통하여 발열 조건 및 UV 조사에 따른 PVB 내부의 화학적 작용기의 변화를 유추할 수 있었다. PVB는 Polyvinyl alcohol과 butyraldehyde의 acetal 반응을 통하여 만들어지는 열가소성 수지이다. 따라서 PVB는 vinyl alcohol, vinyl acetate, 그리고 vinyl butyral 작용기를 모두 포함할 수 있다(Figure 1(c)). 평가 전 PVB 시료의 FTIR 스펙트럼을 보면, PVB를 구성하는 작용기에 해당하는 peak들이 측정되었다. 하지만 UV 조사를 한 PVB 시료에서는 일부 peak의 흡수가 감소하는 현상이 관찰되었다. 회색으로 표시된 2874 cm-1, 2948 cm-1에 해당되는 -CH의 stretching vibration, 1346 cm-1, 1382 cm-1, 1436 cm-1 영역의 -CH의 bending vibration peak들과 1055 cm-1, 1139 cm-1 C-O-C의 stretching vibration peak들은 흡수 변화가 관찰되지 않았다.15 반면, 붉은색으로 표시된 1736 cm-1에서 C=O stretching vibration peak과 1550 cm-1의 O-C-O asymmetric vibration peak, 그리고 995 cm-1 영역의 C-O tensile vibration peak들은 UVA+25 ℃에서 흡수가 감소되었으며, 특히 UVA+50 ℃에서는 더 큰 폭으로 감소하였다.15 해당 peak들은 acetate 작용기와 butyral 작용기에서 관찰될 수 있는 것들로 UVA 조사 과정에서 발열 유리 내부 PVB 필름에서 해당 작용기들이 사라졌다는 것을 의미한다.
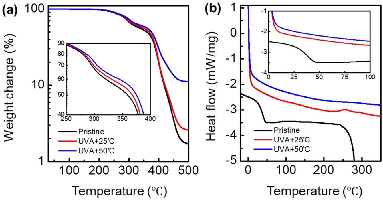
PVB 필름 내 특정 작용기의 감소가 전체 고분자의 물성 및 구조변화에 미치는 영향을 파악하기 위하여 열 특성 분석을 진행하였다(Figure 5). 질소 분위기 아래 온도를 증가시키면서 TGA를 측정한 결과 Pristine PVB는 500 ℃ 온도에서 고분자 대부분이 decomposition되어 1.7%의 질량만 남아 있는 반면, 상온에서 UV를 조사한 UVA+25 ℃는 2.6%로 남아 있는 질량이 증가하였다. 특히 황화가 가장 심하게 발생한 UVA+50 ℃에서는 11.2%의 질량이 500 ℃에서 남았다(Figure 5(a)). 이러한 질량 감소 경향은 질량이 급격하게 감소하기 시작하는 400 ℃보다 낮은 온도 영역에서도 확연히 나타난다. PVB는 열 가소성 고분자이긴 하지만, PVB 고분자 내의 acetate 작용기와 butyral 작용기는 열이나 빛에 의해 쉽게 C-O 화학결합이 깨지면서 radical이 쉽게 형성되는 것으로 알려져 있다.12 특히 100 ℃이상 고온 조건에서 radical 형성으로 인한 PVB 결합 구조가 바뀌는 결과가 보고된 바 있다.16 하지만 Figure 4(d)에서 황화 현상과 표면 온도와의 상관 관계에서 도출된 결론과 같이 30-70 ℃에서 radical 형성은 보고된 바 없다. 따라서 발열 유리에서 PVB 필름 내 radical 형성은 UV광 흡수에 의해 영향을 받는다. 365 nm UVA 램프의 조도 강도가 5 mW/cm2인 조건에서 PVB 필름내 radical 형성에 따른 peroxide 형성 및 yellowness index 변화에 대한 연구가 보고된 바 있는데, UV광 조사에 따라 PVB 고분자의 volatile butyraldehyde 및 butyric acid로 분해 반응이 일어난다고 한다.13 하지만 본 연구에서는 접합 유리내 PVB 필름이 기체 투과성이 매우 낮은 유리로 둘러 쌓여 있어서, radical 생성 이후 volatile 단분자가 발생해도 공기 중으로 빠져나올 수 없다. Figure 5(a)의 TGA 분석 결과로 볼 때, UV광 조사 이후 PVB 고분자는 분자량이 크게 증가하거나 가교 반응으로 decomposition temperature가 크게 증가한 것으로 판단된다. 강한 UV광원 조사 환경에서 acetate 작용기와 butyral 작용기가 깨지면서 빠른 속도로 빛 에너지에 의한 radical이 생성되고, radical 생성 밀도가 크게 증가하여 PVB 고분자 사슬 사이에 두 개의 radical이 결합한 새로운 화학 결합이 생성될 수 있다.13,16 DSC 결과에서도 가교 반응을 통한 PVB의 물성 변화가 관찰되었다(Figure 5(b)). UV를 조사하지 않은 Pristine PVB는 10 K/min의 속도로 온도를 증가할 때, 48 ℃ 부근에서 유리전이온도(glass transition temperature, Tg)가 287 ℃에서 녹는점이 뚜렷하게 관찰되었으나, 72시간 UV 조사 이후 PVB는 Tg 및 녹는점을 정의하기 어려웠다. 이러한 결과는 선형 고분자가 가교 반응이 발생하면 Tg 및 녹는점이 증가한다. 추가로 UV 조사 조건에서 발생하는 PVB 변성은 고분자 사슬의 conformational 이동이 가능한 Tg 이상의 온도에서 일어난다고 알려져 있다. 특히, Tg 대비 높은 온도 조건에서 더욱 활발한 가교 반응이 일어나게 되는데, 이는 발열 유리의 표면 온도가 높아 질수록 yellowness index 증가, FTIR 스펙트럼의 C=O, C-O peak 감소와 잘 일치한다. 고출력 UVA 모듈을 이용한 PVB의 광화학적 변성은 PVB가 UV 광원을 흡수해 radical이 형성되는 과정과 생성된 radical이 Tg 이상의 온도에서 가교 반응을 통한 PVB 필름의 구조적 변화로 설명될 수 있다.13,17 이러한 구조적 변화는 PVB 필름의 탄성 계수 및 흡음 성능 등의 기계적 물성에도 영향을 줄 수 있겠지만, 본 연구에서는 시편의 크기가 작고, 유리 및 금속 박막 제거 공정의 제약으로 구체적인 측정을 수행하지는 못하였다.18 해당 연구는 향후 연구를 통하여 보고할 예정이다. 접합 유리의 경우 일반적인 환경에서 Tg 이상의 온도에 도달하기 힘들지만, 발열 유리의 경우 충분히 도달 가능하다. 본 연구 결과는 차세대 전기차의 전장 부품으로 각광받고 있는 발열 유리의 내구성 향상 및 성능 개발에 기여할 수 있을 것이다.
|
Figure 3 (a) The photograph of the heated glass (left) and the experimental setup (right) for heating test under UV irradiation; (b) the captured image of the surface temperature distribution using IR CCD camera; (c) optical transmittance of the heated glass depending on heating temperature under UV irradiation; (d) the change of surface temperature and the calculated yellowness index. |
|
Figure 4 (a) Optical absorption spectrum of PVB solution in THF (0.05 g/ml) and the light-emitting spectrum of the used UVA LED; (b) FTIR spectrum of pristine PVB film and UV-irradiated PVB films with different heating temperatures. |
|
Figure 5 (a) TGA curves; (b) DSC patterns of the pristine PVB film and UV-irradiated PVB films with different heating temperatures. |
본 논문에서는 전기차용 발열 전면 유리에 널리 적용되고 있는 PVB 필름의 UV 조사에 따른 광학적 물성 변화를 보고하였다. PVB에서 99.9% 이상 빛 에너지 흡수가 가능한 365 nm의 UVA LED 모듈을 사용하고 180.8 mW/cm2의 높은 조사 강도로, 상온에서 72시간의 짧은 조사 시간에도 발열 유리의 황화 반응을 유발하는 조건을 설정하였다. 동시에 발열 유리에 전력을 인가하여 표면 온도를 40, 50, 60 ℃로 조절한 뒤, UV 조사로 인한 광화학적 반응과 기판 온도 변화로 인한 열화 반응을 동시에 제어할 수 있었다. 발열 유리 내 PVB 필름은 UVA 광 조사에 더욱 민감하게 황화 반응이 일어났고, 광 조사와 동시에 표면 온도를 증가할 경우 황화 반응은 더욱 빠르게 진행되었다. FTIR 분석과 TGA, DSC 분석 등의 결과를 토대로, PVB 필름은 UV 흡수로 인해 acetate작용기와 butyral작용기에서 발생한 radical 형성과 radical 로 인한 PVB 고분자 사슬간 가교 반응으로 구조 변화가 발생한다. 이때 발열 기능이 동작하여 PVB 필름의 온도가 Tg 이상이 되었을 때, 이러한 가교 반응은 더욱 빠르게 일어난다. 발열 유리에 포함된 PVB는 접합이라는 기계적 물성과 높은 가시광 투과라는 광학적 물성을 동시에 만족해야 하는데, 이를 위해서는 기존 접합 유리에 적용된 PVB 대비 UV광 안정성이 개선된 제품 개발이 필수적이다. 이 연구에서 제안한 UVA LED를 이용한 발열 유리에 들어가는 PVB 필름의 광화학적 변성 가속 평가 방법은 향후 전기 자동차 용 고성능 발열 전면 유리 개발에 기여할 것으로 기대된다.
This Article2026; 50(2): 282-287
Published online Mar 25, 2026
Services
Correspondence to*School of Polymer Science and Engineering, Chonnam National University, Gwangju, 61186, Korea